地球科学进展 ›› 2025, Vol. 40 ›› Issue (12): 1333 -1349. doi: 10.11867/j.issn.1001-8166.2025.085

土地利用与景观演化 上一篇    下一篇

20年科尔沁地区植被净初级生产力时空动态及其影响因素定量评估
龚相文1,2,3,4,5(), 李玉强2,3,4(), 王旭洋2,3,4, 姚博2,3,4, 连杰2,3,4, 陈云6   
  1. 1.西南大学 地理科学学院 重庆金佛山喀斯特生态系统国家野外科学观测研究站,重庆 400715
    2.中国科学院西北生态环境资源研究院,甘肃 兰州 730000
    3.中国科学院大学,北京 100049
    4.中国科学院西北生态环境资源研究院 奈曼沙漠化研究站,内蒙古 通辽 028300
    5.重庆地质矿产研究院 自然资源部重庆典型矿区生态修复野外科学观测研究站,重庆 401120
    6.云南师范大学 地理学部,云南 昆明 650500
  • 收稿日期:2025-05-08 修回日期:2025-10-03 出版日期:2025-12-10
  • 通讯作者: 李玉强 E-mail:gongxiangwen@swu.edu.cn;liyq@lzb.ac.cn
  • 基金资助:
    内蒙古科技创新重大示范工程“揭榜挂帅”项目(2024JBGS0007);重庆市自然科学基金面上项目(CSTB2022NSCQ- MSX0233);国家自然科学基金项目(42301080)

Quantitative Assessment of the Spatiotemporal Dynamics of Vegetation Net Primary Productivity and Its Driving Factors in the Horqin Area over the Past Two Decades

Xiangwen GONG1,2,3,4,5(), Yuqiang LI2,3,4(), Xuyang WANG2,3,4, Bo YAO2,3,4, Jie LIAN2,3,4, Yun CHEN6   

  1. 1.Chongqing Jinfo Mountain Karst Ecosystem National Observation and Research Station, School of Geographical Sciences, Southwest University, Chongqing 400715, China
    2.Northwest Institute of Eco-Environment and Resources, Chinese Academy of Sciences, Lanzhou 730000, China
    3.University of Chinese Academy of Sciences, Beijing 100049, China
    4.Naiman Desertification Research Station, Northwest Institute of Eco-Environment and Resources, Chinese Academy of Sciences, Tongliao Inner Mongolia 028300, China
    5.Observation and Research Station of Ecological Restoration for Chongqing Typical Mining Areas, Ministry of Natural Resources, Chongqing Institute of Geology and Mineral Resources, Chongqing 401120, China
    6.Faculty of Geography, Yunnan Normal University, Kunming 650500, China
  • Received:2025-05-08 Revised:2025-10-03 Online:2025-12-10 Published:2026-01-17
  • Contact: Yuqiang LI E-mail:gongxiangwen@swu.edu.cn;liyq@lzb.ac.cn
  • About author:GONG Xiangwen, research areas include applied research on remote sensing of the ecological environment. E-mail: gongxiangwen@swu.edu.cn
  • Supported by:
    the “Unveiling the List and Leading the Way” Science and Technology Innovation Major Demonstration Project of Inner Mongolia(2024JBGS0007);The National Natural Science Foundation of China(42301080);The Chongqing Natural Science Foundation Project(CSTB2022NSCQ-MSX0233)

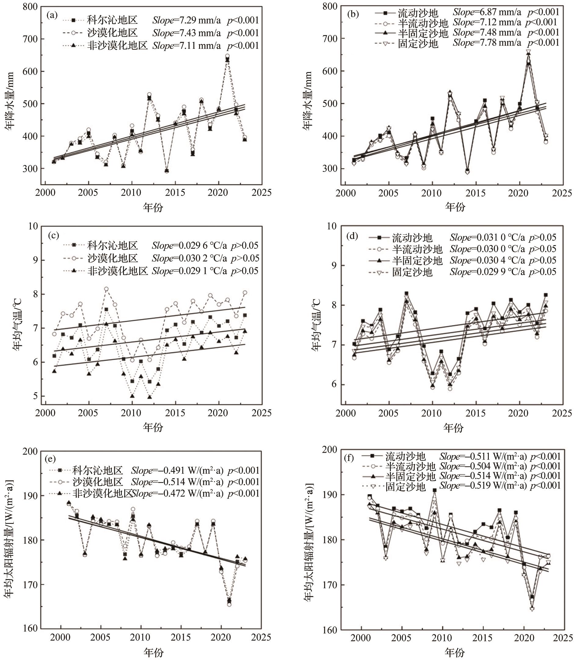
准确评估沙地植被净初级生产力的时空动态,并量化气候变化和人类活动对其影响机制,对于揭示环境变迁对沙地生态系统碳库的作用机制及制定碳汇提升策略具有重要意义。以MOD17A3HGF产品为基础,综合运用趋势分析、稳定性分析、偏相关分析和偏导数等方法,系统探讨了2001—2023年科尔沁地区植被净初级生产力时空动态特征及其驱动机制。结果表明:①2001—2023年,科尔沁地区植被净初级生产力空间分布总体呈“西北和东南高、中间低”的格局,以4.78 g C/(m2⋅a)的速率极显著上升,极显著恢复区占比高达89.3%,72.6%的区域保持稳定状态。固定沙地植被净初级生产力恢复速率强于流动沙地。②科尔沁地区气候条件总体呈“暖湿化”趋势,沙漠化地区气候条件变化幅度普遍大于非沙漠化地区。③植被净初级生产力与年降水量和年均气温呈正相关,而与年均太阳辐射量呈负相关,且年降水量对植被净初级生产力变化的影响占主导地位。④在植被恢复区域,气候变化和人类活动共同作用的区域和以人类活动为主导的区域占比分别为82.2%和16.6%,而在植被退化区域,人类活动主导作用仍不容忽视。流动沙地的净初级生产力受气候变化影响更强,而固定沙地净初级生产力受人类活动影响更显著。研究结果有力支持了顺应气候暖湿化趋势促进流动沙地自然恢复,通过规范农业活动提升沙地植被固碳增汇的管理依据,可为科尔沁地区沙漠化治理与生态恢复提供精准施策的科学依据。

Accurately assessing the spatiotemporal dynamics of vegetation Net Primary Productivity (NPP) in sandy ecosystems and quantifying the roles of climate change and human activities are crucial for elucidating the impacts of environmental change on the carbon pool in these ecosystems and for developing strategies to enhance carbon sinks. Using MOD17A3HGF data products, we systematically analyzed the spatiotemporal patterns of vegetation NPP and their driving mechanisms in the Horqin region from 2001 to 2023, employing trend analysis, stability analysis, partial correlation analysis, and partial derivatives. The results indicated that: ① From 2001 to 2023, the vegetation net primary productivity in the Horqin region exhibited a spatial pattern of being higher in the northwest and southeast and lower in the central region, with a significant increase at a rate of 4.78 g C/(m2⋅a). An impressive 89.3% of the region experienced significant recovery, with 72.6% maintaining stable condition. The recovery rate of net primary productivity was stronger in fixed sands than that in mobile sands. ② A warming and humidification trend characterized the climatic conditions in the Horqin region. The magnitude of climate changes was generally higher in desertified areas than in non-desertified ones. ③ Vegetation net primary productivity showed positive correlations with annual precipitation, and annual mean temperature, but was negatively correlated with annual mean solar radiation, with precipitation dominating the variation in vegetation net primary productivity. ④ In vegetation restoration areas, regions where net primary productivity changes were jointly driven by climate change and human activities, and those primarily driven by human activity accounted for 82.2% and 16.6%, respectively. However, in areas of vegetation degradation, the dominant influence of human activity remains non-negligible. Net primary productivity in mobile sand areas was predominantly influenced by climate change, whereas in fixed sand areas, it was substantially affected by anthropogenic activities. Our findings robustly endorse the following management strategies that facilitate the natural restoration of mobile sands by adapting to the prevailing trends of climate warming and humidification and enhancing the carbon sequestration and carbon sink capacity of sands through the regulation of agricultural practices. These insights provide a scientific foundation for targeted implementation of desertification control and ecological restoration efforts in the Horqin region.

中图分类号: 

图1 科尔沁地区地形特征(a)和沙漠化空间分布特征(b
Fig. 1 Spatial distribution of topographicaand desertification characteristicsbin Korqin area
图2 科尔沁地区植被净初级生产力的MOD17A3HGF产品模拟值与实际观测值对比
Fig. 2 Comparison of the vegetation Net Primary ProductivityNPPbetween the MOD17A3HGF product and the observed values in the Horqin area
表1 沙地类型分类基准
Table 1 Baselines for classification of sandy land types
图3 20012023年科尔沁地区不同区域和沙漠化类型植被净初级生产力的年际变化和多年均值
不同字母(a~c)表示不同区域和沙漠化类型NPP差异显著(p<0.05),相同字母表示差异不显著。
Fig. 3 Interannual variation and multi-year average of vegetation Net Primary ProductivityNPPacross different regions and desertification types in the Horqin area from 2001 to 2023
Different letters (a~c) indicate significant differences in NPP among regions and desertification types (p < 0.05), while identical letters denote no significant differences.
图4 20012023年科尔沁地区净初级生产力多年均值(a)、稳定性(b)、变化趋势(c)和变化趋势显著性(d)的空间分布特征
Fig. 4 Spatial distribution characteristics of multi-year meana), stabilityb), trendc), and significancedof Net Primary ProductivityNPPchange in the Horqin area from 2001 to 2023
表2 20012023年科尔沁地区县域尺度植被净初级生产力的平均值、变化趋势和变异系数统计
Table 2 Statistics on multi-year meanstrends and coefficients of variation of county-scale vegetation Net Primary ProductivityNPPin Horqin area from 2001 to 2023
图5 20012023年科尔沁地区在不同区域和沙漠化类型之间的气候因子年际变化
Fig. 5 Interannual variations in climatic factors among different regions and desertification types in the Horqin area from 2001 to 2023
图6 20012023年科尔沁地区气候条件的变化趋势和变化趋势显著性的空间分布特征
Fig. 6 Spatial distribution of climatic conditions in trends and trends of significance in the Horqin area from 2001 to 2023
图7 科尔沁地区气候条件与植被净初级生产力的偏相关系数和显著性的空间分布特征
PRE、TEMP和SRAD分别为年降水量、年均气温、年均太阳辐射量。
Fig. 7 Spatial distribution of partial correlation coefficients and its significance between climatic conditions and vegetation Net Primary ProductivityNPPin the Horqin area
PRE, TEMP, and SRAD represent annual precipitation, annual average temperature, and annual average solar radiation, respectively.
图8 气候变化和人类活动对植被净初级生产力变化的影响分析
Fig. 8 The impacts of climate change and human activities on vegetation Net Primary ProductivityNPPdynamics
图9 奈曼旗主要气候变化和人类活动年际变化特征
Fig. 9 Interannual variation of major climate changes and human activities in Naiman Banner
表3 奈曼旗植被净初级生产力与气候和人类活动因素的回归分析
Table 3 Regression analysis of vegetation Net Primary ProductivityNPPon climate change and human activity factors in Naiman Banner
[1] YU Guinui, ZHU Jianxing, XU Li, et al. Technological approaches to enhance ecosystem carbon sink in China:nature-based solutions[J]. Bulletin of Chinese Academy of Sciences202237(4): 490-501.
于贵瑞, 朱剑兴, 徐丽,等. 中国生态系统碳汇功能提升的技术途径:基于自然解决方案[J]. 中国科学院院刊202237(4): 490-501.
[2] MIGLIAVACCA M, MUSAVI T, MAHECHA M D, et al. The three major axes of terrestrial ecosystem function[J]. Nature2021598: 468-472.
[3] WAN Huawei, LI Haoxin, GAO Jixi, et al. Spatial pattern analysis of carbon sequestration potential of vegetation ecosyster in China[J]. Acta Ecologica Sinica202242(21):8 568-8 580.
万华伟, 李灏欣, 高吉喜, 等. 我国植被生态系统固碳能力提升潜力空间格局研究[J]. 生态学报202242(21):8 568-8 580.
[4] ZHOU Yanyan, ZHU Minxiang, GUO Xiaojuan, et al. Relative effects of climate change and human activities on net primary productivity in Shule River Basin[J]. Acta Ecologica Sinica201939(14): 5 127-5 137.
周妍妍, 朱敏翔, 郭晓娟, 等. 疏勒河流域气候变化和人类活动对植被NPP的相对影响评价[J]. 生态学报201939(14): 5 127-5 137.
[5] FANG Jingyun, YU Guirui, REN Xiaobo, et al. Carbon sequestration in China’s terrestrial ecosystems under climate changes—progress on ecosystem carbon seguestration from the cas trategic priority research program[J]. Bulletin of Chinese Academy of Sciences201530(6): 848-857.
方精云, 于贵瑞, 任小波, 等. 中国陆地生态系统固碳效应——中国科学院战略性先导科技专项“应对气候变化的碳收支认证及相关问题”之生态系统固碳任务群研究进展[J]. 中国科学院院刊201530(6): 848-857.
[6] XU Li, HE Nianpeng, YU Guirui, et al. The integrative method of multi-source data on terrestrial ecosystem carbon storage from field observation[J]. Acta Ecologica Sinica202343(11): 4 359-4 368.
徐丽, 何念鹏, 于贵瑞, 等. 基于地面观测的陆地生态系统碳储量多源数据整合方法[J]. 生态学报202343(11): 4 359-4 368.
[7] SHI Zhiyu, WANG Yating, ZHAO Qing, et al. The spatiotemporal changes of NPP and its driving mechanisms in China from 2001 to 2020[J]. Ecology and Environmental Sciences202231(11): 2 111-2 123.
石智宇, 王雅婷, 赵清, 等. 2001—2020年中国植被净初级生产力时空变化及其驱动机制分析[J]. 生态环境学报202231(11): 2 111-2 123.
[8] XUE Gang, XING Yanqiu, CHANG Xiaoqing, et al. Analysis of vegetation NPP change and its influencing factors in China[J]. Remote Sensing Information202338(6):68-74.
薛港, 邢艳秋, 常晓晴, 等. 中国植被NPP变化及其影响因素分析[J]. 遥感信息202338(6):68-74.
[9] LI Dengke, WANG Zhao. The characteristics of NPP of terrestrial vegetation in China based on MOD17A3 data[J]. Ecology and Environmental Sciences201827(3):397-405.
李登科, 王钊. 基于MOD17A3的中国陆地植被NPP变化特征分析[J]. 生态环境学报201827(3):397-405.
[10] WANG J Y, DELANG C O, HOU G L, et al. Net primary production increases in the Yangtze River Basin within the latest two decades[J]. Global Ecology and Conservation2021, 26. DOI:10.1016/j.gecco.2021.e01497 .
[11] LI Xue, YU Kunxia, XU Guoce, et al. Spatial characteristics and driving factors of net primary productivity of vegetation in the upper and middle Yellow River Basin[J]. Environmental Science202445(11): 6 448-6 457.
李雪, 于坤霞, 徐国策, 等. 黄河上中游流域植被净初级生产力空间特征及驱动因素分析[J]. 环境科学202445(11): 6 448-6 457.
[12] WANG Zongchao, YAN Feng, TIAN Pengfei, et al. Spatial and temporal variability of carbon sequestration capacity of vegetation in Beijing-Tianjin-Hebei and its influencing factors from 2002 to 2020[J]. Environmental Science202546(6): 3 784-3 796.
王宗超, 闫丰, 田朋飞, 等. 2002—2020年京津冀植被固碳能力时空分异及其影响因素[J]. 环境科学202546(6): 3 784-3 796..
[13] YAN Feng, LI Chenyang, WANG Jing, et al. Quantitative analysis of the drivers of the spatio-temporal evolution of vegetation npp in the Beijing-Tianjin-Hebei ecological barrier area[J]. Environmental Science202546(1): 327-339.
闫丰, 李晨阳, 王靖, 等. 京津冀生态屏障区植被NPP时空演变驱动力定量解析[J]. 环境科学202546(1): 327-339.
[14] PAN Senyuan, ZHOU Qiaowei, LI Jinggang, et al. Climate impact mechanism underlying vegetation carbon sequestration changes in northern Guangdong, China based on spatial lag model[J]. Chinese Journal of Applied Ecology202536(1):227-237.
潘森源, 周俏薇, 李景刚, 等. 基于空间滞后模型的粤北地区植被固碳变化的气候影响机制[J]. 应用生态学报202536(1):227-237.
[15] CHEN Le, ZHANG Fuping, SI Jianhua, et al. Spatially differentiated characteristics of vegetation carbon sequestration function in Helan Mountain area and its driving factors[J]. Acta Ecologica Sinica202343(24):10 250-10 262.
陈乐, 张福平, 司建华, 等. 贺兰山地区植被固碳功能空间分异特征及其驱动因素[J]. 生态学报202343(24): 10 250-10 262.
[16] XU Yong, HUANG Haiyan, DAI Qiangyu, et al. Spatial-temporal variation in net primary productivity in terrestrial vegetation ecosystems and its driving forces in southwest china[J]. Environmental Science202344(5): 2 704-2 714.
徐勇, 黄海艳, 戴强玉, 等. 西南地区陆地植被生态系统NPP时空演变及驱动力分析[J]. 环境科学202344(5): 2 704-2 714.
[17] FENG Xiao, QU Jianjun, DING Xinhui, et al. Temporal and spatial pattern of NPP in Yulin and its influencing factors during the desertification reversal[J]. Journal of Desert Research202444(1): 22-32.
冯筱, 屈建军, 丁新辉, 等. 沙漠化逆转过程中榆林市植被净初级生产力时空格局及其影响因素[J]. 中国沙漠202444(1): 22-32.
[18] XU Hong, CHENG Jinxin, HE Yuqin, et al. Effects of climate change and human activities on net primary productivity in Yunnan Province[J]. Plateau Meteorology202443(4):1 064-1 075.
徐虹, 程晋昕, 何雨芩, 等. 气候变化和人类活动对云南省植被净初级生产力的影响[J]. 高原气象202443(4):1 064-1 075.
[19] YANG Yumeng, LAI Quan, LIU Xiyi. Quantitative analysis of climate change and human activities on vegetation gross primary productivity in Nei Mongol, China[J]. Chinese Journal of Plant Ecology202448(3):306-316.
杨宇萌, 来全, 刘心怡. 气候变化和人类活动对内蒙古植被总初级生产力的定量影响[J]. 植物生态学报202448(3):306-316.
[20] CHEN Shanshan, WEN Zhaofei, MA Maohua, et al. Overview of research methods for quantitatively analyzing the effects of ecological projects on vegetation dynamics in the context of climate change[J]. Acta Ecologica Sinica202242(15): 6 439-6 449.
陈珊珊, 温兆飞, 马茂华, 等. 气候变化背景下定量解析生态工程对植被动态的影响研究方法概述[J]. 生态学报202242(15): 6 439-6 449.
[21] JIA Lu, YU Kunxia, DENG Mingjiang, et al. Spatio-temporal changes of annual NPP in the Heihe River Basin and its response to climate factors[J]. Journal of Basic Science and Engineering202331(3): 523-540.
贾路, 于坤霞, 邓铭江, 等. 黑河流域年NPP时空变化及其对气候因子的响应[J]. 应用基础与工程科学学报202331(3): 523-540.
[22] LI Yuqiang, WANG Xuyang, ZHENG Chengzhuo, et al. The practice on prevention and control of aeolian desertification and suggestion on the ecologically sustainable restoration in the Horqin Sandy Land[J]. Journal of Desert Research202444(4): 302-314.
李玉强, 王旭洋, 郑成卓, 等. 科尔沁沙地防沙治沙实践与生态可持续修复浅议[J]. 中国沙漠202444(4): 302-314.
[23] Jiaxin LÜ, LI Xiufen, ZHENG Xiao, et al. Temporal and spatial changes and their driving forces of vegetation cover in Horqin Sandy Land in recent 40 years[J]. Chinese Journal of Ecology202039(5): 1 399-1 408.
吕家欣, 李秀芬, 郑晓, 等. 近40年科尔沁沙地植被时空变化及其驱动力[J]. 生态学杂志202039(5): 1 399-1 408.
[24] SHAO Guomei, QIAO Qin, ZHANG Wenting, et al. Spatio-temporal variations and driving factors of sand fixation and windbreaks in the Horqin grassland ecological zone[J]. Research of Environmental Sciences202538(1): 139-150.
邵国媚, 乔琴, 张文婷, 等. 科尔沁草原生态功能区防风固沙功能时空变化及驱动因素分析[J]. 环境科学研究202538(1): 139-150.
[25] XU Li, HE Nianpeng, YU Guirui. A dataset of carbon density in Chinese terrestrial ecosystems (2010s)[J]. China Scientific Data20184(1). DOI: 10.11922/csdata.2018.0026.zh .
徐丽, 何念鹏, 于贵瑞. 2010s中国陆地生态系统碳密度数据集[J]. 中国科学数据20184(1). DOI: 10.11922/csdata.2018.0026.zh .
[26] CHANG Yiran, ZHANG Chi, WEI Jiacheng, et al. Impacts of climate change and human activities on the net primary productivity y of vegetation in Inner Mongolia [J]. Acta Agrostia Sinica202331(11): 3 444-3 452.
常屹冉, 张弛, 魏嘉诚, 等. 气候变化和人类活动对内蒙古植被净初级生产力的影响[J]. 草地学报202331(11): 3 444-3 452.
[27] NIU L N, SHAO Q Q, NING J, et al. The assessment of ecological restoration effects on Beijing-Tianjin sandstorm source control project area during 2000-2019[J]. Ecological Engineering2023, 186. DOI:10.1016/j.ecoleng.2022.106831 .
[28] GONG Xiangwen. Temporal and spatial dynamics of net primary productivity and ecological carrying capacity in Horqin area, China[D]. Beijing: University of Chinese Academy of Sciences, 2019.
龚相文. 科尔沁地区植被净初级生产力及生态承载力时空动态研究[D]. 北京: 中国科学院大学, 2019.
[29] TANG Xin, ZHANG Fuping, FENG Qi, et al. Changes in grassland yield and grassland-livestock balance in Ordos City over the past 20 years[J]. Acta Ecologica Sinica202444(23): 10 887-10 896.
汤昕, 张福平, 冯起, 等. 20年来鄂尔多斯市草地产草量变化及草畜平衡[J]. 生态学报202444(23): 10 887-10 896.
[30] WANG Yonfeng, JING Juanli, LIU Haihong. Spatio-terporal variation of evapotranspiration and its driving factors in southwest China from 2000 to 2020[J]. Resources and Environment in the Yangtze Basin202332(12): 2 568-2 580.
王永锋, 靖娟利, 刘海红. 2000—2020年西南地区蒸散发时空变化及驱动因素探测[J]. 长江流域资源与环境202332(12):2 568-2 580.
[31] HAN Yuna, ZUO Depeng, WANG Guoging, et al. Evolution pattern and attribution analysis of terrestrial water storage in Tibetan Plateau under changing environment[J]. Water Resources Protection202339(2): 199-207.
韩煜娜, 左德鹏, 王国庆, 等. 变化环境下青藏高原陆地水储量演变格局及归因[J]. 水资源保护202339(2): 199-207.
[32] LYU J Q, FU X H, LU C, et al. Quantitative assessment of spatiotemporal dynamics in vegetation NPP, NEP and carbon sink capacity in the Weihe River Basin from 2001 to 2020[J]. Journal of Cleaner Production2023, 428. DOI:10.1016/j.jclepro.2023.139384 .
[33] SHEN Ziao, WU Jing, LI Chunbin. Temporal and spatial changes of vegetation cover and its driving forces in the Hexi inland river basin from 2000 to 2020[J]. Journal of Desert Research202444(3): 1-9.
申子傲, 吴静, 李纯斌. 2000—2020年河西内陆河流域植被覆盖时空变化特征及其驱动力[J]. 中国沙漠202444(3): 1-9.
[34] LIU C X, ZHANG X D, WANG T, et al. Detection of vegetation coverage changes in the Yellow River Basin from 2003 to 2020[J]. Ecological Indicators2022, 138. DOI:10.1016/j.ecolind.2022.108818 .
[35] WANG Fang, WANG Zuo, ZHANG Yun. Spatio-temporal variations in vegetation net primary productivity and their driving factors in Anhui Province from 2000 to 2015[J]. Acta Ecologica Sinica201838(8): 2 754-2 767.
王芳, 汪左, 张运. 2000—2015年安徽省植被净初级生产力时空分布特征及其驱动因素[J]. 生态学报201838(8): 2 754-2 767.
[36] GONG Xiangwen, LI Yuqiang, WANG Xuyang, et al. Temporal-spatial dynamic changes of net primary productivity in Horgin region, China[J]. Pratacultural Science201835(10):2 306-2 317.
龚相文, 李玉强, 王旭洋, 等. 科尔沁地区植被净初级生产力时空动态特征[J]. 草业科学201835(10):2 306-2 317.
[37] WANG Yi, HAO Lina, ZHAO Meiling, et al. Variation of vegetation NDVI and its response to climatic factors and human activities in Chongqing from 2001 to 2018[J]. Research of Soil and Water Conservation202128(5):222-229.
王一, 郝利娜, 赵美龄, 等. 2001—2018年重庆植被NDVI变化及其对气候因子和人类活动的响应[J]. 水土保持研究202128(5):222-229.
[38] GE W Y, DENG L Q, WANG F, et al. Quantifying the contributions of human activities and climate change to vegetation net primary productivity dynamics in China from 2001 to 2016[J]. Science of the Total Environment2021, 773. DOI:10.1016/j.scitotenv.2021.145648 .
[39] ZHANG Yifei, ZHANG Junling. Impact of climate change and human activities on net primary productivity of vegetation in the Yunnan-Guizhou Plateau[J]. Environmental Science202546(8): 5 217-5 228.
张艺菲, 张俊玲. 气候变化和人类活动对云贵高原植被净初级生产力的影响[J]. 环境科学202546(8): 5 217-5 228.
[40] YU Jing, GAO Yamim, FU Ming. Spatial-temporal variation of NDVI and its response to climate change in Horqin Grassland[J]. Chinese Journal of Grassland202042(6): 82-90.
于静, 高亚敏, 付铭. 科尔沁草原NDVI时空变化特征及其对气候的响应[J]. 中国草地学报202042(6): 82-90.
[41] CHEN Xueping, ZHAO Xueyong, ZHANG Jing, et al. Variation of NDVI spatio-temporal characteristics and its driving factors based on geodetector model in Horqin Sandy Land, China[J]. Chinese Journal of Plant Ecology202347(8):1 082-1 093.
陈雪萍, 赵学勇, 张晶, 等. 基于地理探测器的科尔沁沙地植被NDVI时空变化特征及其驱动因素[J]. 植物生态学报202347(8):1 082-1 093.
[42] JIN Haizhen, YU Deyong, HAO Ruifang, et al. Analysis of constraint relationship arong key ecosyster services in the Horqin Sandy Land[J]. Acta Ecologica Sinica202141(18):7 249-7 259.
金海珍, 于德永, 郝蕊芳, 等. 科尔沁沙地关键生态系统服务的约束关系分析[J]. 生态学报202141(18):7 249-7 259.
[43] SONG Chunyang, SHE Weiwei, GUO Yanpei, et al. Effects of vegetation restoration on species diversity and functional diversity in the Mu Us Desert[J]. Acta Ecologica Sinica202545(13): 6 331-6 348.
宋春阳, 佘维维, 郭焱培, 等. 毛乌素沙地植被恢复过程中物种多样性与功能多样性的关系[J]. 生态学报202545(13):6 331-6 348.
[44] HU Ling, SUN Cong, FAN Wenjie, et al. Spatio-temporal dynamics of vegetation in key ecological function zone of wind-break and sand-fixation over the last 20 years[J]. Acta Ecologica Sinica202141(21): 8 341-8 351.
胡玲, 孙聪, 范闻捷, 等. 近20年防风固沙重点生态功能区植被动态分析[J]. 生态学报202141(21): 8 341-8 351.
[45] LIU Junhao, ZHOU Haisheng, GUO Qun. The effects of desertification control on the patterns of vegetation in arid and semi-arid regions of northern China[J]. Journal of Desert Research202343(5): 204-213.
刘俊壕, 周海盛, 郭群. 中国北方干旱半干旱区沙漠化治理对植被格局的影响[J]. 中国沙漠202343(5): 204-213.
[46] ZHANG Qian, ZHANG Fangmin, LU Qi, et al. Effects of ecological construction projects on primary ecosystem services in Horqin Sandy Land[J]. Bulletin of Soil and Water Conservation202141(5): 154-159.
张钤, 张方敏, 卢琦, 等. 生态工程对科尔沁沙地主要生态服务功能的影响[J]. 水土保持通报202141(5): 154-159.
[47] YUE Xiyuan, CHANG Xueli, LIU Liangxu, et al. The responding mechanism of NDVI to solar radiation intensity change in Horqin Sandyland[J]. Journal of Arid Land Resources and Environment201529(3):98-102.
岳喜元, 常学礼, 刘良旭, 等. 科尔沁沙地植被NDVI对太阳辐射照度变化的响应机制[J]. 干旱区资源与环境201529(3):98-102.
[48] WANG Y F, ZHANG J Q, TONG S Q, et al. Monitoring the trends of Aeolian desertified lands based on time-series remote sensing data in the Horqin Sandy Land, China[J]. Catena2017157: 286-298.
[49] ZHAO Y L, CHEN H, GE W Y, et al. Examining the direct and indirect impacts of urbanization on vegetation net primary productivity across Chinese cities[J]. Agricultural and Forest Meteorology2025, 374. DOI:10.1016/j.agrformet.2025.110815 .
[50] CHEN G Z, ZHANG K Q, ZHANG X D, et al. Enhancing terrestrial net primary productivity estimation with EXP-CASA: a novel light use efficiency model approach[J]. Remote Sensing of Environment2025, 326. DOI:10.1016/j.rse.2025.114790 .
[51] LI Z, CHEN Y N, WANG Y, et al. Dynamic changes in terrestrial net primary production and their effects on evapotranspiration[J]. Hydrology and Earth System Sciences201620(6): 2 169-2 178.
[52] LI H, HU Y F, AO Z D. Identification of critical drought thresholds affecting vegetation on the Mongolian Plateau[J]. Ecological Indicators2024, 166. DOI:10.1016/j.ecolind.2024.112507 .
[1] 罗栋梁, 刘佳, 李晓英, 杜柯飞, 金会军, 陈方方, OLGA Makarieva, 王青志. 气候变化下冰椎演化及其水文生态与灾害效应[J]. 地球科学进展, 2025, 40(8): 767-777.
[2] 陈心怡, 崔腾飞, 潘忆遥, 陈一帆, 李紫函, 伏钱琛, 杨瑞强. 北极陆地环境新型有机污染物的传输及其影响[J]. 地球科学进展, 2025, 40(8): 831-846.
[3] 何春阳, 刘小平, 王伟, 黄庆旭, 刘志锋, 廖威林, 朱国梁. 全球城镇化趋势及其对气候变化的影响[J]. 地球科学进展, 2025, 40(6): 577-591.
[4] 张井勇, 杨占梅, 吴凌云. 夏季极端高温预测模型系统及实际应用[J]. 地球科学进展, 2025, 40(5): 516-524.
[5] 谢思敏, 杜志恒, 王磊, 严芳萍, 崔浩, 陶长廉, 杨佼, 吴通华, 效存德. 北极海底冻土变化特征与温室气体研究进展[J]. 地球科学进展, 2025, 40(4): 360-373.
[6] 向书旗, 陈静, 游超. 中国植被火燃烧格局与展望[J]. 地球科学进展, 2025, 40(2): 207-220.
[7] 王怀海, 宋兆斌, 乔静娟, 张晓雪, 汪正蛟一, 郝芳唯, 左小安. 草原生态系统植物群落稳定性及其影响机制研究进展[J]. 地球科学进展, 2025, 40(11): 1166-1182.
[8] 张井勇. 面向碳中和的气候变化预估与风险研究新框架[J]. 地球科学进展, 2025, 40(1): 15-20.
[9] 陈梦佳, 白炜, 张成铭, 刘文艳, 高泽永. 多年冻土区热喀斯特湖水—热—碳循环过程研究进展[J]. 地球科学进展, 2025, 40(1): 82-98.
[10] 袁星, 周诗玙, 马凤, 王钰淼, 郝奕, 梁妙玲, 陈李楠. 气候和下垫面变化下骤旱形成演变机制研究进展[J]. 地球科学进展, 2024, 39(9): 877-888.
[11] 魏泽勋, 徐腾飞, 方越, 王晶, 秦秉斌, 胡石建, 李颖, 聂珣炜, 张志祥, 李志, 曹智勇, 马强. 热带太平洋—印度洋洋际交换及其气候效应的观测研究[J]. 地球科学进展, 2024, 39(8): 788-800.
[12] 刘锦波, 张勇, 刘时银, 王欣, 蒋宗立. 青藏高原及周边石冰川识别、冰储量及动力学过程研究进展[J]. 地球科学进展, 2024, 39(4): 391-404.
[13] 倪杰, 吴通华, 张雪, 朱小凡, 陈杰, 杜宜臻. 19792022年三江源地区大气冻融指数时空变化特征分析[J]. 地球科学进展, 2024, 39(12): 1299-1310.
[14] 兰措. 气候变化背景下陆面模式研究进展及不足[J]. 地球科学进展, 2024, 39(1): 46-55.
[15] 丁一汇, 柳艳菊, 徐影, 吴萍, 薛童, 汪靖, 石英, 张颖娴, 宋亚芳, 王朋岭. 全球气候变化的区域响应:中国西北地区气候“暖湿化”趋势、成因及预估研究进展与展望[J]. 地球科学进展, 2023, 38(6): 551-562.
阅读次数
全文


摘要