地球科学进展 ›› 2025, Vol. 40 ›› Issue (12): 1380 -1393. doi: 10.11867/j.issn.1001-8166.2025.100

气候变化响应与绿色能源潜力 上一篇    下一篇

气温与降水协同作用对奈曼旗土壤微生物生物量碳的影响
姜琳子1(), 贾炳浩1(), 潘成臣2,3   
  1. 1.中国科学院大气物理研究所 地球系统数值模拟与应用全国重点实验室,北京 100029
    2.中国科学院 西北生态环境资源研究院,甘肃 兰州 730000
    3.中国科学院西北生态环境资源研究院 奈曼沙漠化研究站,内蒙古 通辽 028300
  • 收稿日期:2025-09-22 修回日期:2025-11-07 出版日期:2025-12-10
  • 通讯作者: 贾炳浩 E-mail:jianglinzi@mail.iap.ac.cn;bhjia@mail.iap.ac.cn
  • 基金资助:
    国家自然科学基金项目(U24A20573);国家自然科学基金项目(42322502)

Effects of the Synergistic Interaction Between Temperature and Precipitation on Soil Microbial Biomass Carbon in Naiman Banner

Linzi JIANG1(), Binghao JIA1(), Chengchen PAN2,3   

  1. 1.State Key Laboratory of Earth System Numerical Modeling and Application, Institute of Atmospheric Physics, Chinese Academy of Sciences, Beijing 100029, China
    2.Northwest Institute of Eco-Environment and Resources, Chinese Academy of Sciences, Lanzhou 730000, China
    3.Naiman Desertification Research Station, Northwest Institute of Eco‐Environment and Resources, Chinese Academy of Sciences, Tongliao Inner Mongolia 028300, China
  • Received:2025-09-22 Revised:2025-11-07 Online:2025-12-10 Published:2026-01-17
  • Contact: Binghao JIA E-mail:jianglinzi@mail.iap.ac.cn;bhjia@mail.iap.ac.cn
  • About author:JIANG Linzi, research area includes soil microbial ecology. E-mail: jianglinzi@mail.iap.ac.cn
  • Supported by:
    the National Natural Science Foundation of China(U24A20573)

气温与降水是影响我国干旱半干旱地区生态水文过程的关键气候要素,二者的协同作用对土壤微生物过程的影响仍需进一步明确。以中国科学院西北生态环境资源研究院奈曼沙漠化研究站的长期观测数据为支撑,选取科尔沁沙地草甸风沙土为研究对象,定量评估了气温与降水协同作用对土壤微生物生物量碳的影响。结果表明,气温与降水协同作用以土壤湿度为关键中介,通过“气温降水协同—土壤湿度响应—土壤微生物反馈”的核心路径实现对土壤微生物生物量碳的动态调控,且土壤湿度0.019 m3/m3可作为不同气温与降水协同类型的临界判别值。当“气温升高、降水增多”时,升温加剧土壤蒸发,而降水补充未能抵消蒸发损耗,引发干旱胁迫,抑制微生物生物量碳积累;当“气温降低、降水减少”时,降温减弱蒸发,降水减少抑制水分深层渗透,使表层土壤湿度维持适宜状态,促进微生物生物量碳积累。研究结果有助于加深对不同气候要素协同作用影响干旱半干旱区土壤微生物过程的理解,也对认知沙地土壤碳循环过程具有重要价值。

Temperature and precipitation are key climatic factors regulating ecohydrological processes in arid and semi-arid regions of China. However, the impacts of their synergistic effects on soil microbial processes remain to be further clarified. Based on long-term observational data from the Naiman National Field Scientific Observation and Research Station, this study focused on meadow aeolian sandy soil in the Horqin Sandy Land to quantitatively evaluate the synergistic effects of temperature and precipitation on soil microbial biomass carbon. The results indicated that the synergistic effect of temperature and precipitation is mediated by soil moisture as a critical intermediate, which regulates the dynamics of soil microbial biomass carbon through the core pathway: “temperature-precipitation synergy—soil moisture response—soil microbial feedback”. Furthermore, a soil moisture content of 0.019 m3/m3 can serve as the critical threshold for distinguishing different types of temperature-precipitation synergistic interactions. Under the scenario of “increased temperature and increased precipitation”, rising temperatures dominate and enhance soil evaporation. Precipitation supplementation fails to offset evaporative losses, resulting in drought stress that inhibits the accumulation of microbial biomass carbon. In contrast, under the scenario of “decreased temperature and decreased precipitation”, reduced temperatures weaken evaporation, while decreased precipitation suppresses deep water infiltration—thus maintaining surface soil moisture at an optimal state and facilitating the accumulation of microbial biomass carbon. This study not only deepens the understanding of how the synergistic effects of multiple climatic factors modulate soil microbial processes in arid and semi-arid regions but also provides significant insights for elucidating soil carbon cycle processes in sandy land ecosystems.

中图分类号: 

表1 奈曼旗气温与降水协同作用类型的判定及分类
Table 1 Determination and classification of synergistic effect types between temperature and precipitation in Naiman Banner
表2 奈曼旗不同月份对应的气温与降水协同作用类型
Table 2 Synergistic types of temperature and precipitation corresponding to different months in Naiman Banner
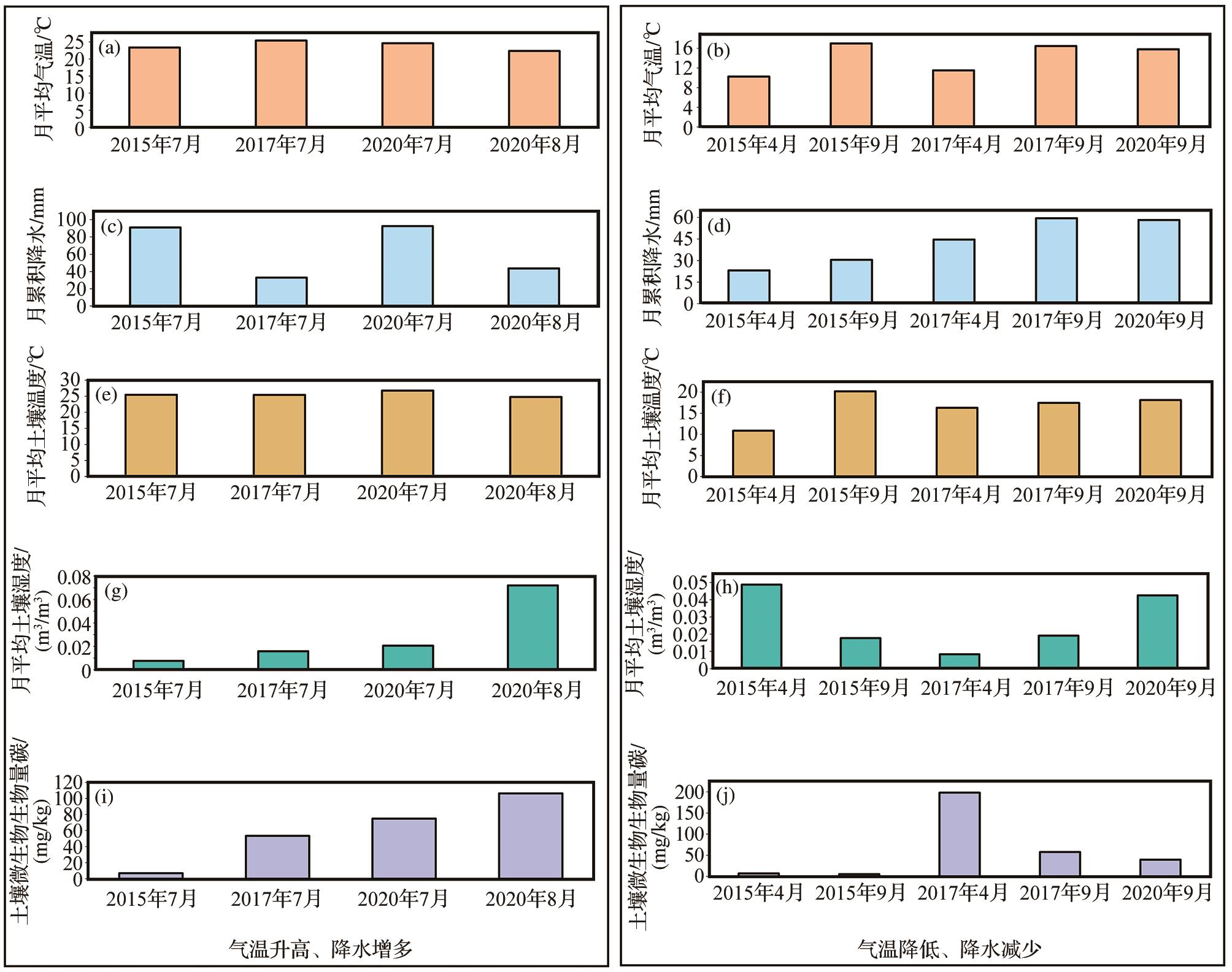
图1 两类气温与降水协同作用下的气候与环境基本特征
Fig. 1 Basic climatic and environmental characteristics under two types of temperature and precipitation synergistic effects
表3 气温、降水、土壤环境因子与土壤微生物生物量碳Pearson相关性分析
Table 3 Pearson correlation analysis matrix of temperatureprecipitationsoil environmental factorsand soil microbial biomass carbon
图2 不同气温与降水协同条件下土壤湿度与微生物生物量碳的线性回归
(a)气温升高、降水增多;(b)气温降低、降水减少。
Fig. 2 Linear regression between soil moisture and microbial biomass carbon under different synergistic conditions of temperature and precipitation
(a) Increased temperature and increased precipitation; (b) Decreased temperature and decreased precipitation.
图3 不同协同作用下气温、降水及二者交互(气温×降水)对土壤温度和土壤湿度的贡献程度
Fig. 3 Contributions of temperatureprecipitationand their interactiontemperature×precipitationto soil temperature and soil moisture under different synergistic conditions
图4 “气温升高、降水增多”情境下纳入土壤有机碳和氮的路径相对贡献
Fig. 4 Relative contributions of paths incorporating soil organic carbon and nitrogen under increased temperature and precipitation scenarios
图5 土壤微生物生物量碳受土壤湿度影响的临界值
Fig. 5 Critical threshold of soil microbial biomass carbon affected by soil moisture
图6 不同协同作用类型下气温、降水、气温×降水交互与土壤温度、土壤湿度、微生物生物量碳关系的结构方程模型
红色路径系数代表正相关,蓝色路径系数代表负相关。RMR:均方根残差,AIC:赤池信息准则。显著性水平:***p < 0.001,**p < 0.01。
Fig. 6 Structural equation models illustrating the relationships among temperatureprecipitationtemperature×precipitation interactionsoil water contentsoil nutrientsand microbial biomass carbon under different synergy types
Red path coefficients indicate positive correlations, while blue path coefficients indicate negative correlations. RMR:Root Mean square Residual, AIC: Akaike Information Criterion. Significance levels: ***p < 0.001,**p < 0.01.
[1] JOHNSTON C A, GROFFMAN P, BRESHEARS D D, et al. Carbon cycling in soil[J]. Frontiers in Ecology and the Environment20042(10): 522-528.
[2] WU H W, CUI H L, FU C X, et al. Unveiling the crucial role of soil microorganisms in carbon cycling: a review[J]. Science of the Total Environment2024, 909. DOI: 10.1016/j.scitotenv.2023.168627 .
[3] HE P, LI L J, DAI S S, et al. Straw addition and low soil moisture decreased temperature sensitivity and activation energy of soil organic matter[J]. Geoderma2024, 442. DOI: 10.1016/j.geoderma.2024.116802 .
[4] HUANG Weigen, NI Haowei, HUANG Ruilin, et al. Driving mechanism of soil organic carbon response to increase hydrothermal conditions in different climatic regimes[J]. Acta Pedologica Sinica202461(5): 1 260-1 270.
黄伟根, 倪浩为, 黄瑞林, 等. 不同气候条件下土壤有机碳水热响应驱动机制研究[J]. 土壤学报202461(5): 1 260-1 270.
[5] DONG Y C, JIANG Z H, SUN Q H. Attribution of differences in observed warming among subregions of China and observationally constrained projection[J]. International Journal of Climatology202444(1): 183-195.
[6] LIU X J, REICH P B, TISSUE D T, et al. Long-term moderate warming shifts soil carbon cycling but maintains carbon sinks in a subtropical forest[J]. One Earth2025. DOI: 10.1016/j.oneear.2025.101465 .
[7] WANG M M, ZHANG S, GUO X W, et al. Responses of soil organic carbon to climate extremes under warming across global biomes[J]. Nature Climate Change202414(1): 98-105.
[8] CAO Mingkui, LI Kerang. Perspective on terrestrial ecosystem-climate interaction[J]. Advances in Earth Science200015(4): 446-452.
曹明奎, 李克让. 陆地生态系统与气候相互作用的研究进展[J]. 地球科学进展200015(4): 446-452.
[9] LYU L H, WANG C Q, FAN K K, et al. Microbial life-history strategies mediate temperature effects on organic carbon pools in black soils[J]. Soil Ecology Letters20257(3). DOI: 10.1111/gcb.17311 .
[10] SOONG J L, FUCHSLUEGER L, MARAÑON-JIMENEZ S, et al. Microbial carbon limitation: the need for integrating microorganisms into our understanding of ecosystem carbon cycling[J]. Global Change Biology202026(4): 1 953-1 961.
[11] BLAGODATSKAYA E, KUZYAKOV Y. Active microorganisms in soil: critical review of estimation criteria and approaches[J]. Soil Biology and Biochemistry201367: 192-211.
[12] JIANG L Z, USHIO M, IMAI N, et al. Changes of bacterial versus fungal community composition along a forest degradation gradient of logged-over tropical rain forests, and their consequences on soil enzyme activities in Malaysian Borneo[J]. Plant and Soil2025510(1): 541-563.
[13] ZHOU Z H, WANG C K. Reviews and syntheses: soil resources and climate jointly drive variations in microbial biomass carbon and nitrogen in China’s forest ecosystems[J]. Biogeosciences201512(22): 6 751-6 760.
[14] XU Miaoping, REN Chengjie, ZHANG Wei, et al. Responses mechanism of C∶N∶P stoichiometry of soil microbial biomass and soil enzymes to climate change[J]. Chinese Journal of Applied Ecology201829(7): 2 445-2 454.
许淼平, 任成杰, 张伟, 等. 土壤微生物生物量碳氮磷与土壤酶化学计量对气候变化的响应机制[J]. 应用生态学报201829(7): 2 445-2 454.
[15] LIU W X, ALLISON S D, XIA J Y, et al. Precipitation regime drives warming responses of microbial biomass and activity in temperate steppe soils[J]. Biology and Fertility of Soils201652(4): 469-477.
[16] XU Hua, HE Mingzhu, TANG Liang, et al. Response of changes of microbial biomass carbon and nitrogen to precipitation in desert soil[J]. Acta Ecologica Sinica202040(4): 1 295-1 304.
许华, 何明珠, 唐亮, 等. 荒漠土壤微生物量碳、氮变化对降水的响应[J]. 生态学报202040(4): 1 295-1 304.
[17] LIU Fang, WU Minghui, WEI Peijie, et al. Variations of soil microbial biomass carbon and nitrogen in alpine meadow of the Shule River headwater region[J]. Acta Ecologica Sinica202040(18): 6 416-6 426.
刘放, 吴明辉, 魏培洁, 等. 疏勒河源高寒草甸土壤微生物生物量碳氮变化特征[J]. 生态学报202040(18): 6 416-6 426.
[18] JIANG L Z, USHIO M, KITAYAMA K. Changes of soil chemical properties, microbial biomass and enzymatic activities along a gradient of forest degradation in logged over tropical rain forests, Borneo[J]. Plant and Soil2023485(1): 525-536.
[19] SCHNECKER J, SPIEGEL F, LI Y, et al. Microbial responses to soil cooling might explain increases in microbial biomass in winter[J]. Biogeochemistry2023164(3): 521-535.
[20] LIU Bingru. Response of thermal adaptability of soil microbial respiration and microbial community and diversity to global climate change: a review[J]. Ecology and Environmental Sciences202231(1): 181-186.
刘秉儒. 土壤微生物呼吸热适应性与微生物群落及多样性对全球气候变化响应研究[J]. 生态环境学报202231(1): 181-186.
[21] ZHAO Wenyu, MIAO Run, CHENG Cheng, et al. Effects of experimental warming on soil microorganisms: a meta-analysis[J]. Acta Pedologica Sinica202562(3): 870-880.
赵雯钰, 苗润, 程诚, 等. 实验增温对土壤微生物的影响: 基于Meta分析[J]. 土壤学报202562(3): 870-880.
[22] BU X L, GU X Y, ZHOU X Q, et al. Extreme drought slightly decreased soil labile organic C and N contents and altered microbial community structure in a subtropical evergreen forest[J]. Forest Ecology and Management2018429: 18-27.
[23] YU Y C, LIU S, PAN J X, et al. Extreme wetness reduces soil microbial residue carbon more substantially than extreme drought across grassland ecosystems[J]. Global Change Biology202531(7). DOI: 10.1111/gcb.70353 .
[24] TIAN Rui, KOU Jin, HU Xiao, et al. Effects of warming and precipitation changes on the structure and function of soil bacterial communities in dry-crop farmland[J]. China Environmental Science202545(1): 508-518.
田瑞, 寇谨, 胡啸, 等. 增温和降水变化对旱作农田土壤细菌群落结构和功能的影响[J]. 中国环境科学202545(1): 508-518.
[25] SONG Wenjie, LIANG Yuzheng, TAO Zhen, et al. Advances on soil organic carbon dynamics mediated by microorganisms[J]. Advances in Earth Science202338(12): 1 213-1 223.
宋文婕, 梁誉正, 陶贞, 等. 微生物介导的土壤有机碳动态研究进展[J]. 地球科学进展202338(12): 1 213-1 223.
[26] BARGALI S S. Soil microbial biomass: a crucial indicator of soil health[J]. Current Agriculture Research Journal202412(1): 1-6.
[27] NORBY R J, HARTZ-RUBIN J S, VERBRUGGE M J. Phenological responses in maple to experimental atmospheric warming and CO2 enrichment[J]. Global Change Biology20039(12): 1 792-1 801.
[28] BARNABÁS B, JÄGER K, FEHÉR A. The effect of drought and heat stress on reproductive processes in cereals[J]. Plant, Cell & Environment, 200831(1): 11-38.
[29] TRAMBLAY Y, BADI W, DRIOUECH F, et al. Climate change impacts on extreme precipitation in Morocco[J]. Global and Planetary Change201282/83: 104-114.
[30] SHI Zhongjie, GAO Jixi, XU Lihong, et al. Effect of vegetation on changes of temperature and precipitation in Inner Mongolia, China[J]. Ecology and Environmental Sciences201120(11): 1 594-1 601.
时忠杰, 高吉喜, 徐丽宏, 等. 内蒙古地区近25年植被对气温和降水变化的影响[J]. 生态环境学报201120(11): 1 594-1 601.
[31] MA C, XIA Y H, RUI Y C, et al. Shifts in organic carbon protection mechanism in agricultural soils across climatic gradients[J]. Agriculture, Ecosystems & Environment, 2024, 375. DOI: 10.1016/j.agee.2024.109184 .
[32] LU Jiannan, LI Yuqiang, ZHAO Xueyong, et al. Characteristics of ecological environment changes and advices for combating desertification in typical semi-arid sandy land[J]. Journal of Desert Research202444(4): 284-292.
卢建男, 李玉强, 赵学勇, 等. 半干旱区典型沙地生态环境演变特征及沙漠化防治建议[J]. 中国沙漠202444(4): 284-292.
[33] YAN Meng, WANG Xuyang, ZHOU Liye, et al. Characteristics and influencing factors of soil organic carbon in the process of desertification in Horqin Sandy Land[J]. Journal of Desert Research202242(5): 221-231.
闫蒙, 王旭洋, 周立业, 等. 科尔沁沙地沙漠化过程中土壤有机碳含量变化特征及影响因素[J]. 中国沙漠202242(5): 221-231.
[34] CONANT R T. Challenges and opportunities for carbon sequestration in grassland systems [M]. Rome, Italy: FAO, 2010.
[35] LI Yuqiang, ZHENG Chengzhuo, XIANG Yu, et al. Carbon cycle in sandy ecosystems: major research advances of the Naiman Desertification Research Station from 1985 to 2025[J]. Journal of Desert Research202545(4): 34-42.
李玉强, 郑成卓, 向宇, 等. 沙地生态系统碳循环: 奈曼沙漠化研究站1985—2025年主要研究进展[J]. 中国沙漠202545(4): 34-42.
[36] WANG Huaihai, HUANG Wenda, HE Yuanzheng, et al. Effects of short-term warming and precipitation reduction on soil microbial biomass carbon, nitrogen and enzyme activity in sandy grassland[J]. Journal of Desert Research202242(3): 274-281.
王怀海, 黄文达, 何远政, 等. 短期增温和降水减少对沙质草地土壤微生物量碳氮和酶活性的影响[J]. 中国沙漠202242(3): 274-281.
[37] NIU Yayi, LIU Wei, DONG Jiarui, et al. The variation characteristics of main meteorological factors in Horqin Sandy Land during 1961-2021: a case study of Naiman Banner[J]. Journal of Desert Research202343(4): 263-273.
牛亚毅, 刘蔚, 董佳蕊, 等. 科尔沁沙地1961—2021年主要气象要素的变化特征: 以奈曼旗为例[J]. 中国沙漠202343(4): 263-273.
[38] ZHAO Halin, ZHOU Ruilian, ZHANG Tonghui, et al. Statistical properties of vegetation and its relationship with desertification in Horqin Sandy Land[J]. Journal of Desert Research200424(3): 274-278.
赵哈林, 周瑞莲, 张铜会, 等. 科尔沁沙地植被的统计学特征与土地沙漠化[J]. 中国沙漠200424(3): 274-278.
[39] ZHAO Kai, YUE Yongjie, HE Rong, et al. Study on spatial distribution of land desertification sensitivity in Naiman Banner[J]. Forest Resources Management2022(1): 52-60.
赵恺, 岳永杰, 贺嵘, 等. 奈曼旗土地沙漠化敏感性空间分布研究[J]. 林业资源管理2022(1): 52-60.
[40] JIAO Shuren, FU Guisheng, JIANG Peng. Local tree species in Keerqin Sandy Land and their protection and utilization[J]. Journal of Inner Mongolia Forestry Science and Technology200228(1): 3-7, 9.
焦树仁, 付贵生, 姜鹏. 科尔沁沙地的乡土树种及其保护与利用[J]. 内蒙古林业科技200228(1): 3-7, 9.
[41] NAI Minfu, HE Manxi. A study on systematic development of Kerrchin Desert: a case study from Naiman Banner[J]. Chinese Journal of Eco-Agriculture19931(4): 59-64.
奈民夫(那顺, 何满喜. 科尔沁沙地系统开发研究: 以奈曼旗为例[J]. 生态农业研究19931(4): 59-64.
[42] GUO S J, HAN Y, WANG Q S. Better nonparametric confidence intervals via robust bias correction for quantile regression[J]. Stat202110(1). DOI: 10.1002/sta4.370 .
[43] ZHOU Liantong, WEN Liming. Characteristics of temporal and spatial variations in land-air temperature difference in China and its association with summer rainfall[J]. Climatic and Environmental Research201621(6): 621-632.
周连童, 温李明. 我国春夏季地气温差的时空变化特征及其与夏季降水的联系[J]. 气候与环境研究201621(6): 621-632.
[44] CHAN B K C. Data analysis using R programming[M]// Biostatistics for human genetic epidemiology. Cham: Springer International Publishing, 2018: 47-122.
[45] DURÁN J, DELGADO-BAQUERIZO M, DOUGILL A J, et al. Temperature and aridity regulate spatial variability of soil multifunctionality in drylands across the globe[J]. Ecology201899(5): 1 184-1 193.
[46] LI J G, MAMTIMIN A, LI Z G, et al. Effects of summer rainfall on the soil thermal properties and surface energy balances in the Badain Jaran Desert[J]. Advances in Meteorology2019. DOI: 10.1155/2019/4960624 .
[47] HU Anyan, FU Wendong, CHEN Yunfei, et al. Soil moisture dynamics and its response to precipitation in different cover types of the Mu Us Sandy Land[J]. Research of Soil and Water Conservation202330(6): 133-142.
胡安焱, 付稳东, 陈云飞, 等. 毛乌素沙地不同覆被类型土壤水分动态及其对降水的响应[J]. 水土保持研究202330(6): 133-142.
[48] WANG Bo, DUAN Yuxi, WANG Weifeng, et al. Spatial and temporal variability of soil moisture content during vegetation succession in sand-binding areas[J]. Arid Zone Research202037(4): 881-889.
王博, 段玉玺, 王伟峰, 等. 人工固沙区植被演替过程中土壤水分时空分异特征[J]. 干旱区研究202037(4): 881-889.
[49] TARNAWSKI V R, LEONG W H. Thermal conductivity of soils at very low moisture content and moderate temperatures[J]. Transport in Porous Media200041(2): 137-147.
[50] HOU Cuicui, SONG Changchun, LI Yingchen, et al. Seasonal dynamics of soil organic carbon and active organic carbon fractions in Calamagrostis angustifolia wetlands topsoil under different water conditions[J]. Environmental Science201132(1): 290-297.
侯翠翠, 宋长春, 李英臣, 等. 不同水分条件下小叶章湿地表土有机碳及活性有机碳组分季节动态[J]. 环境科学201132(1): 290-297.
[51] MATTHEWS K E, FACELLI J M, CAVAGNARO T R. Response of soil microbial community structure, carbon and nitrogen cycling to drying and rewetting[J]. Applied Soil Ecology2023, 192. DOI: 10.1016/j.apsoil.2023.105099 .
[52] ZHANG N L, LIU W X, YANG H J, et al. Soil microbial responses to warming and increased precipitation and their implications for ecosystem C cycling[J]. Oecologia2013173(3): 1 125-1 142.
[53] LIU Y C, TIAN H M, LI J R, et al. Reduced precipitation neutralizes the positive impact of soil warming on soil microbial community in a temperate oak forest[J]. Science of the Total Environment2022, 806. DOI:10.1016/j.scitotenv.2021.150957 .
[54] HENG Tao, WU Jianguo, XIE Shiyou, et al. The responses of soil C and N, microbial biomass C or N under alpine meadow of Qinghai-Tibet Plateau to the change of temperature and precipitation[J]. Chinese Agricultural Science Bulletin201127(3): 425-430.
衡涛, 吴建国, 谢世友, 等. 高寒草甸土壤碳和氮及微生物生物量碳和氮对温度与降水量变化的响应[J]. 中国农学通报201127(3): 425-430.
[55] HUANG Jianping, JI Mingxia, LIU Yuzhi, et al. An overview of arid and semi-arid climate change[J]. Progressus Inquisitiones de Mutatione Climatis20139(1): 9-14.
黄建平, 季明霞, 刘玉芝, 等. 干旱半干旱区气候变化研究综述[J]. 气候变化研究进展20139(1): 9-14.
[56] XU Guochang, YAO Hui, LI Shan. The present climate change in arid and semi arid regions of China[J]. Quaternary Sciences199717(2): 105-114.
徐国昌, 姚辉, 李珊. 中国干旱—半干旱区当代气候变化[J]. 第四纪研究199717(2): 105-114.
[57] JI X M, LIU M H, YANG J L, et al. Meta-analysis of the impact of freeze-thaw cycles on soil microbial diversity and C and N dynamics[J]. Soil Biology and Biochemistry2022, 168. DOI: 10.1016/j.soilbio.2022.108608 .
[58] SHARMA S, SZELE Z, SCHILLING R, et al. Influence of freeze-thaw stress on the structure and function of microbial communities and denitrifying populations in soil[J]. Applied and Environmental Microbiology200672(3): 2 148-2 154.
[59] CUARTERO J, QUEREJETA J I, PRIETO I, et al. Warming and rainfall reduction alter soil microbial diversity and co-occurrence networks and enhance pathogenic fungi in dryland soils[J]. Science of the Total Environment2024, 949. DOI: /10.1016/j.scitotenv.2024.175006 .
[60] NEDWELL D. Effect of low temperature on microbial growth: lowered affinity for substrates limits growth at low temperature[J]. FEMS Microbiology Ecology199930(2): 101-111.
[61] DAN Y T, WANG X X, JI M Y, et al. Influence of temperature change on the immobilization of soil Pb and Zn by hydrochar: roles of soil microbial modulation[J]. Environmental Pollution2023, 320. DOI: 10.1016/j.envpol.2023.121109 .
[62] XU W X, CAO L F, GE R L, et al. Long term impact of electrical resistance heating on soil bacterial community based on a field test[J]. Science of the Total Environment2024, 950. DOI: 10.1016/j.scitotenv.2024.175292 .
[63] GONG S W, ZHANG T, GUO J X. Warming and nitrogen addition change the soil and soil microbial biomass C∶N∶P stoichiometry of a meadow steppe[J]. International Journal of Environmental Research and Public Health201916(15). DOI: 10.3390/ijerph16152705 .
[64] WOO D K, SEO Y. Effects of elevated temperature and abnormal precipitation on soil carbon and nitrogen dynamics in a Pinus densiflora forest[J]. Frontiers in Forests and Global Change2022, 5. DOI:10.3389/ffgc.2022.1051210 .
[65] LI Y Q, BRANDLE J, AWADA T, et al. Accumulation of carbon and nitrogen in the plant-soil system after afforestation of active sand dunes in China’s Horqin Sandy Land[J]. Agriculture, Ecosystems & Environment, 2013177: 75-84.
[66] LI Y M, WANG Y M, QIU G W, et al. Conservation tillage facilitates the accumulation of soil organic carbon fractions by affecting the microbial community in an eolian sandy soil[J]. Frontiers in Microbiology2024, 15. DOI: 10.3389/fmicb.2024.1394179 .
[67] TRIVEDI P, DELGADO-BAQUERIZO M, TRIVEDI C, et al. Microbial regulation of the soil carbon cycle: evidence from gene-enzyme relationships[J]. The ISME Journal201610(11): 2 593-2 604.
[68] LIANG C, SCHIMEL J P, JASTROW J D. The importance of anabolism in microbial control over soil carbon storage[J]. Nature Microbiology2017, 2. DOI: 10.1038/nmicrobiol.2017.105 .
[69] LI Chang, YANG Zhongfang, YU Tao, et al. Carbon sink of soil inorganic carbon in arid regions and its contribution to carbon sequestration and emission reduction: a review[J]. Geology in China202451(4): 1 210-1 242.
李畅, 杨忠芳, 余涛, 等. 干旱区土壤无机碳碳汇作用及其对固碳减排贡献研究进展[J]. 中国地质202451(4): 1 210-1 242.
[1] 鲁重生, 曹文庚, 庄海艳, 丛日辉, 仝艳龙, 任宇, 李祥志, 宋乐, 卢瑶, 郭记菊. 奈曼旗农牧交错带地下水水化学形成机制与背景值研究[J]. 地球科学进展, 2025, 40(12): 1363-1379.
[2] 曹文庚, 鲁重生, 庄海艳, 丛日辉, 仝艳龙, 任宇, 李祥志, 卢瑶, 王妍妍. 奈曼旗南部山区富锶—偏硅酸地下水形成机制与开发潜力[J]. 地球科学进展, 2025, 40(12): 1283-1296.
[3] 张荣, 宋乐, 马翠艳, 张娟娟, 付世骞, 任宇, 鲁重生, 曹文庚. 奈曼旗麦饭石对土壤—地下水中特征重金属的防控机制研究[J]. 地球科学进展, 2025, 40(12): 1350-1362.
[4] 谢君洋, 王轶, 黎孟琦, 余强毅, 吴文斌, 吴浩. 基于时序遥感影像和深度学习的奈曼旗地区农田利用现状分析[J]. 地球科学进展, 2025, 40(12): 1307-1322.
[5] 徐勇, 胡迪, 洪亮. 40年奈曼旗土地利用动态变化与时空分析[J]. 地球科学进展, 2025, 40(12): 1297-1306.
[6] 陈雪萍, 赵学勇, 杨小菊, 王瑞雄. 科尔沁沙地恢复的生物地理学基础与成效[J]. 地球科学进展, 2025, 40(12): 1323-1332.
[7] 胡迪, 畅骏, 徐勇, 洪亮, 李红波, 管卫华, 钱润萱. 奈曼旗产业发展时空演变研究[J]. 地球科学进展, 2025, 40(12): 1421-1434.
[8] 曾小箕, 李嘉诚, 祝秀慧. 基于生态系统服务供需平衡的奈曼旗生态管理分区[J]. 地球科学进展, 2025, 40(12): 1404-1420.
[9] 马渊, 邵建欣, 闫艺航, 刘程琳, 杨颖, 于建国. 奈曼天然碱矿开采—加工过程中的技术挑战与应对策略[J]. 地球科学进展, 2025, 40(12): 1267-1282.
[10] 龚咏琪, 于海鹏, 周洁, 任钰, 魏韵, 程姗岭, 杨耀先, 罗红羽. 东亚干旱半干旱区水汽来源研究进展[J]. 地球科学进展, 2023, 38(2): 168-182.
[11] 董治宝, 李超, 吕萍, 胡光印. 侵蚀型沙丘:来自火星的启示[J]. 地球科学进展, 2021, 36(2): 125-138.
[12] 董治宝,吕萍,李超,胡光印. 火星风条痕特征及其形成机制[J]. 地球科学进展, 2020, 35(9): 902-911.
[13] 董治宝, 吕萍, 李超. 火星风沙地貌研究方法[J]. 地球科学进展, 2020, 35(8): 771-788.
[14] 董治宝,吕萍,李超,胡光印. 火星独特风沙地貌之横向沙脊[J]. 地球科学进展, 2020, 35(7): 661-677.
[15] 董治宝,吕萍,李超,胡光印. 火星大沙波纹特征及其形成机制[J]. 地球科学进展, 2020, 35(10): 1006-1015.
阅读次数
全文


摘要