多年冻土区天然气管道压气站失效情境下应对方案研究
1.
2.
3.
4.
Study on Mitigative Measures in Case of Compressor Station Outage for Gas Pipelines in Permafrost Regions
1.
2.
3.
4.
通讯作者: 金会军(1967-),男,陕西岐山人,教授,主要从事冻土学和寒区工程、环境及其管理方面的研究. E-mail:hjjin@lzb.ac.cn
收稿日期: 2020-09-20 修回日期: 2020-10-31 网络出版日期: 2021-01-25
| 基金资助: |
|
Corresponding authors: Jin Huijun (1967-), male, Qishan County, Shannxi Province, Professor. Research areas include permafrost,cold zone engineering, environment and project management. E-mail:hjjin@lzb.ac.cn
Received: 2020-09-20 Revised: 2020-10-31 Online: 2021-01-25
作者简介 About authors
李欣泽(1987-),男,新疆克拉玛依人,博士研究生,主要从事冻土与寒区工程研究.E-mail:slecclxz@sina.com
多年冻土区天然气管道管基土冻胀和融沉地质灾害是人们所熟知的威胁管道安全运行的重大风险。受长输管道用管材最低设计金属温度限制,在压气站失效后,气体进行越站输送,由于焦耳—汤姆逊效应,会出现下游管道输气温度低于管材金属最低设计温度的风险。而对于温带地区的管道工程,不会出现类似的技术挑战。以某多年冻土区天然气管道工程为例,从保护多年冻土的角度给出了全线温度分区控制策略及实现途径。采用国际通用水力热力软件SPS对压气站失效后不采取措施和采取诸如提高失效压气站上游压气站出站温度、降低管道输量、额外增设加热站等不同措施下的多种工况进行了定量计算和分析讨论,并初步给出相应的解决方案构想。希望能够补充现有输气工艺理论,为北极和高山多年冻土区天然气管道建设提供新的思路。
关键词:
For gas pipelines in permafrost regions, it is well-known that the most serious hazards, such as differential thaw settlement and frost heave, affect the engineering foundations and the integrity of pipeline systems. However, in case of a compressor station outage, the chilled gas will bypass the outage station, flow directly to the downstream pipeline and continue the cooling due to the Joule-Thomson cooling effect. The dangerous scenario that the transporting temperature may fall to a level below the minimum design temperature has not been paid adequate attention because this kind of potential challenge has never been encountered for pipelines in temperate regions. Taking one planned gas pipeline project in permafrost regions as an example, temperature controlling strategies and feasible approaches were given on the perspective of protecting permafrost and technical measures, such as using high discharge temperature, forced flow reduction and installing extra gas heater stations, evaluated quantitatively and discussed using international hydraulic software SPS. Finally, the initial framework solutions were proposed in the hope of supplementing existing gas transporting process theory and identifying new approaches for gas pipelines in the northern and upland permafrost regions.
Keywords:
本文引用格式
李欣泽, 金会军, 吴青柏.
Li Xinze, Jin Huijun, Wu Qingbai.
1 引 言
多年冻土地带,如北极大陆架以及北美北部、西伯利亚等地区的油气资源丰富,资源勘探开发和外输管道建设日益受到广泛重视。过去的几十年里,国内外在多年冻土区开展的重大管线工程研究和实践大多集中于输油管道,其中最为经典的是美国的阿拉斯加(Alyeska)原油管道、加拿大的罗曼井(Norman Wells)原油管道、国内的中俄原油管道[I线(2011年投运)和II线(2018年投运)]和格尔木—拉萨成品油管道[1~7]。北美地区提出过不少多年冻土区天然气管道建设项目,如阿拉斯加天然气管道项目、阿拉斯加公路天然气管道项目和阿拉斯加液化天然气管道项目等,但由于技术风险、环境保护、地缘政治等因素,依然处于规划和前期研究论证阶段。
为避免原油管道发生凝管恶性事故,即便在多年冻土区,原油输送温度依然需要高于其凝点,一般输油温度在50~60 ℃。受原油凝点温度的限制,原油管道的输送温度不能随意调节。在阿拉斯加原油管道设计初期,曾有过向油品中添加降凝剂保持冷油流动性的冷输工艺方案,但论证后发现一些技术和经济问题很难落实,比如为使井下生产出来的热油自然冷却,在首站需增设带冷冻措施的储罐;原油冷冻以后会变稠,需要增加2~3倍的设有冷冻系统的泵站;一旦发生停输事故,管道再启动困难;需定期清管作业清除冷却原油析出的石蜡等,相比热输方案,冷输方案将使管道建设投资高出2/3。冻土对温度极其敏感,为应对热油管道高油温运营带来的管基土融沉问题,已建的多年冻土区原油管道工程如阿拉斯加原油管道、中俄原油管道等已研发出并应用了诸如架空敷设、保温层、热管、通风管、增大壁厚、木屑护坡等技术措施,有效保证了管基土的结构稳定性,积累了不少成功的经验以及教训[8~15]。
而输气管道和输油管道在设计上有本质的差别,高密度气体输运效率较高,年输量200亿m3以上的大输量天然气管道往往要保证高压输送状态,压力高达12 MPa,甚至更高。为了应对输送过程中的管壁摩擦阻力损失,在每隔100~150 km处设置压气站以提升管道输送压力,而天然气的容积热容小,经压气站增压后天然气温度升高的幅度大,相比泵站温升仅1~2 ℃,压气站温升在30~40 ℃。
与原油管道不同的是,天然气管道输气温度是可以调节的,可以人为降低天然气输送温度,使埋地管道温度在相当长的距离低于土的冻结温度,这样就不至于产生融沉问题。一般土体冻结温度为-1~0 ℃,与土的类型、含水量、液限含水率、含盐量等因素相关,若通过天然气管道压气站冷却设备控制出站温度在-1 ℃以下,由于压气站站间输气温度下降很快,那么管道全线输气温度均可以控制在冻土冻结温度以下,从根本上避免了输油管道遇到的融沉问题[16~22]。当然,这么做在连续多年冻土区是完全适用的,在不连续多年冻土区,冷却(低温)管道将会使融区地段的管道周围岩土产生冻结,随着时间推移,管道周围会形成越来越厚的“冻结圈”,容易导致管道翘曲。为应对该问题,局部管基土换填(用冻胀不敏感土壤置换敏感土壤)、安装排水装置降低地下水层、管道下方安装板式隔热层和应用分子振动暗红外纳米热棒加热系统等技术措施或许可以提供解决方案[23~27]。
全球范围内多年冻土区长输天然气管道主要集中在俄罗斯西伯利亚西北地区,伴随着Urengoy、Yamburg和Medvezhye俄罗斯三大气田开发, Gazprom公司建设有20条长距离大口径天然气管道。在20世纪70年代管道投产初期,管道输气温度在0 ℃以下,管道主要面临冻胀风险;考虑到输量提升需求,随着80年代各管道沿线压气站陆续投产,由于并没有配套投运对压气站出口天然气进行冷却的换热设备或配套投运的冷却设备也没有将输气温度降低至0 ℃,管道主要面临融沉风险,部分管道由于管周土融化,管道上浮至地表,直接和大气接触并经历冻融循环,应力不断在钢管内积聚,大幅降低了管道可靠性[28,29]。本文的关注点不是天然气管道冷输工艺带来的个别季节局部地段冻胀问题,而是天然气管道冷输工艺方案的一个特有技术难题,即如何采取有效措施来应对压气站因事故失效停机后输送温度骤降带来的下游管道管材低温超限、管道输量降低、压缩机在低输量下喘振或排放物超标等一系列难题。
长输天然气管道用压缩机一般为离心式压缩机,压缩机的主要构件有叶轮、扩压器、弯道、回流器、吸气室和蜗壳,故障易发生在其运动部件如转子和密封位置。转子振动、密封故障、喘振、排气量不足、排气温度不正常、轴承过热、油温高、油压低、噪声大、转子轴位移大是常见的典型故障类型。通过对某长输天然气管道Rolls-Royce燃驱机组2007—2010年机组每年故障次数、千小时故障次数进行文献和实地调研,2007—2010年机组故障次数年度统计值分别为23次、30次、45次和52次。以2010年为例,共发生52次故障停机,其中压缩机组本体故障停机22次,站场辅助系统故障停机30次;2007—2010年机组千小时故障停机次数统计值分别为1.27次、0.40次、0.52次和0.27次。控制系统故障、现场仪表故障以及电气故障为Rolls-Royce燃驱压缩机主要的3种故障形式, 占总故障的80%左右,3种故障的一次检查时间分别约为2小时、0.3小时和8小时。为提高压气站工作的可靠性,可采取措施包括定期备份所有压缩机运行历史参数和程序,加强报警信息的监视和巡回检查,做好记录,及时组织人员进行检查处理;对故障部件进行更换、调试丢失程序控制器;定期对现场仪表设备进行检查、维修,对已产生偏差的设备进行更换;确保外电以及发电机的平稳运行,降低由于供电突然中断以及供电波动问题造成的故障停机频率等。多年冻土地区自然环境恶劣、人烟稀少、外部可依托条件差,尽管可采取上述一定措施提高压气站工作的可靠性,但建议同时考虑压气站失效后采取的应急措施。因为多年冻土区压气站失效不仅对压缩机本身运行的可靠性产生影响,更重要的是对下游管段的管材低温承受能力提出挑战。
2 多年冻土区天然气管道控温方案
2.1 全线控温策略
类似阿拉斯加原油管道或中俄原油管道,多年冻土区油气管道自北向南往往要经过连续多年冻土区、非连续多年冻土区和零星多年冻土区。充分利用天然气管道输气温度可以调节的有利条件,为防止管基土融沉,全线多年冻土区采用冷却(低温)输送工艺,但最低运行温度与管道材料断裂韧性相关,不能低于最低设计金属温度(Minimum Design Metal Temperature,MDMT)。通过对高寒冻土区俄罗斯博瓦年科沃—乌赦塔输气管道(博乌管道)和北美最大输气管道系统Alliance管道调研发现,埋地管道的最低设计温度选定为输送介质温度和管周土壤温度中的较低值。博乌管道取-20 ℃,Alliance管道取-5 ℃。从保护多年冻土的角度考虑,建议天然气管道在不同区域的温度控制策略如图1所示[30]。
图1
(1)在连续多年冻土区,要保证压气站出站全年保持-1 ℃的温度,目的是将管道输送温度控制在管周冻土温度以下,确保管道周围的冻土尤其是管基土持续保持在冻结状态。
(2)在非连续多年冻土区,由于冻土区和融区是非连续分布,管道输送温度在冬季的控温策略与在连续多年冻土区相同;考虑到在夏季若管道依然是负温输送,在融区地下水丰富地带,受温度梯度驱动,水分将向更低温度的管体周围聚集,容易引发管基土冻胀,因此在夏季时段,管道运行温度为正温,趋向于环境大气温度。
(3)在零星多年冻土区,相比在非连续多年冻土区,负温输送更容易引发管基土冻胀,因此最低输气温度不作特别控制,和温带地区管道类似。
2.2 压气站控温方案
2.2.1 单一空冷器模式
在传统温带地区,一般压气站出站处都会设置空冷器设备,以降低天然气的输送温度,提高管道输量。在相同输量下,由于空冷器的作用,气体温度降低,管线摩阻减小,全线压气站的压缩机功率也会相应降低,但空冷器运行也会产生一定能耗。为定量评价空冷器不同冷却温度对管道全线的影响,以某温带地区管道3 780×104 m3/d输量工况为例,分别按照压缩机出口温度高于50、40和35 ℃投运空冷器进行全线压气站能耗和空冷器能耗综合分析,对比结果如表1所列。当空冷器冷却温度为35 ℃时全线总功率最低,可见空冷器冷却温度降低会减少管道的运行能耗,但值得注意的是空冷器的冷却温度不能持续降低,原因有两个:一是风冷式空冷器冷却温度必须高于大气温度10 ℃左右,空冷器才可正常工作;二是压气站出站温度若低于管道沿线地温,管道气体温度主要受地温影响。
表1 空冷器不同冷却温度对应压缩机和空冷器功率
Table 1
| 空冷器冷却 温度/℃ | 压缩机功率 /MW | 空冷器功率 /MW | 功率总计 /MW |
|---|---|---|---|
| 50 | 75.17 | 0.45 | 75.62 |
| 40 | 74.4 | 0.81 | 75.21 |
| 35 | 73.74 | 0.99 | 74.73 |
2.2.2 空冷器和换热器组合模式
在多年冻土区,为保证压气站出站温度控制在-1 ℃以下,仅仅依靠空冷器是无法实现的。空冷器的投运需要额外消耗大量能量,20世纪80年代俄罗斯Gazprom公司就曾因为投运空冷器的经济性考虑,未能将压气站与空冷器同步投运,造成管道全年持续高温输送,部分管段上浮至地表,直接和大气接触并经历冻融循环。低温带来挑战,但也可以因地制宜,加以利用,可考虑在传统的压气站设计中加入换热器设备,因为天然气经过长距离输送,压气站的进站温度一般是低于冻土温度,低至-10 ℃左右,该冷量可以对空冷器出口的天然气进行二次冷却,同时来气温度的提升也有助于满足压气站燃气轮机对天然气温度要求[30]。设计的具有空冷器和换热器双重冷却功能的压气站示意图如图2所示。
图2
图2
带冷却功能单机组压气站工艺流程图
Fig.2
Process flow diagram of single-unit compressor station with coolers
选用国际大型通用计算软件Aspen HYSYS V8.8搭建压气站站内设备模型,对在压气站增设换热器的控温设计方案进行验证。选择典型的带双重冷却功能压气站场,分别计算最冷月(1月)和最热月(7月)站内压缩机、空冷器、换热器的压力、温度和热负荷等参数,计算模型如图3和图4所示。由计算结果可知,夏季工况下,在压气站进站处设置的换热器需投入运行才能保证压气站出站温度低于-1.0 ℃。上游来气进站温度-9.4 ℃,进入换热器与空冷器出口气体进行换热后温度达到12.4 ℃,进入压缩机进行压缩增压,温度提升至28.0 ℃,接着进入空冷器进行一次冷却,温度降低至19.2 ℃,最后进入换热器与上游来气进行换热,二次冷却降温至-1.1 ℃后输往下游压气站。
图3
图3
带冷却功能压气站HYSYS建模(冬季工况)
Fig.3
Compressor station with coolers modeling using HYSYS (winter scenario)
图4
图4
带冷却功能压气站HYSYS建模(夏季工况)
Fig.4
Compressor station with coolers modeling using HYSYS (summer scenario)
冬季工况下,在压气站进站处设置的换热器不需要投入运行就能保证压气站出站温度低于-1.0 ℃。上游来气进站温度-12.7 ℃,进入压缩机进行压缩增压,温度提升至5.3 ℃,接着进入空冷器进行冷却,温度降低至-1.1 ℃后输往下游压气站。
3 压气站失效后果及应对方案讨论
3.1 压气站失效后果
为进一步明确压气站失效对下游管段操作温度降低程度和对全线输量影响程度,以某多年冻土区天然气管道工程为例,选取设计输量下的冬季输气工况,采用国际通用水力热力软件SPS (Synergee Pipeline Simulator )对各个压气站失效情景进行模拟计算分析。该管道项目输气干线全长约1 300 km,管径1 067 mm,沿线设置8座压气站,平均站间距140 km,除断层、大型河流跨越外,全线埋地敷设。管道依次穿越约300 km连续多年冻土区,600 km非连续冻土区,400 km非冻土区或零星冻土区。连续多年冻土区极地地区冻土最大厚度为700 m,其他地段一般厚度在100~300 m,表层有不超过0.5 m的季节活动层;非连续多年冻土区多年冻土的覆盖度为35%~90%,多年冻土的分布与土层类型、地形地貌特征、地下水条件和坡向等有关,冻土厚度5 m至数十米不等,部分地段则无,分布呈非连续性。计算过程中的关键计算步骤包括管道和周围土体基础参数收集、仿真模型建立、边界条件设定、模型调试、基础准稳态工况运行、压气站失效等瞬态工况触发、计算结果查看(计算参数报表和沿程压力、温度曲线导出)等。其中输入参数以规划天然气管道敷设处实际环境条件为依据进行选择。需要强调的是在传热计算中,冻土的总传热系数值不是恒定值,因为冻土的相变潜热、未冻水含量变化、冻土区和融区物理性质差异等均会影响总传热系数。
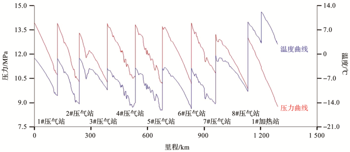
图5表示的是管道在冬季正常运行工况下沿线压力和温度曲线分布情况,压气站进站压力范围为9.8~10.7 MPa,进站温度范围为-16.0~-10.7 ℃。表2为各压气站失效对管道输量和输气温度降低影响分析表,图6给出了1#压气站失效后全线压力和温度曲线图。从计算结果可以看出,温降方面,除了3#压气站和8#压气站,1#压气站、2#压气站、4#压气站、5#压气站、6#压气站和7#压气站失效后,下游首个压气站进站温度低于管道最低金属设计温度-20 ℃,存在较大的安全隐患;管道输量损失方面,单个压气站失效后,管道输量降低程度为10%~20%,其中8#压气站失效后,对管道输量影响最大,降低原输气量的20%;7#压气站失效后,对管道输量影响最小,降低原输气量的10%。为防止管道由于温度降低而发生脆性断裂,需要采取积极的应对措施防止该不利工况发生,同时考虑经济性,要尽可能保持管道在压气站失效前的高输量状态下运行。
图5
图5
某多年冻土区天然气管道沿线压力和温度曲线图(冬季工况)
Fig.5
Pressure and tempetature graph of one arctic gas pipeline (winter scenario)
表2 各压气站失效对管道输量和输气温度降低影响分析表
Table 2
| 序号 | 失效压气站 | 失效前管道输气量 /(104 m3/d) | 失效后管道输气量/(104 m3/d) | 输量损失/% | 失效前下游首个压气站进站温度/℃ | 失效后下游首个压气站进站温度/℃ | 失效前下游首个压气站进站压力/MPa | 失效后下游首个压气站进站压力/MPa |
|---|---|---|---|---|---|---|---|---|
| 1 | 1#压气站 | 9 369 | 8 075 | 14 | -14.5 | -24.3 | 10.3 | 8.2 |
| 2 | 2#压气站 | 9 369 | 8 177 | 13 | -10.5 | -22.5 | 10.3 | 8.2 |
| 3 | 3#压气站 | 9 369 | 7 911 | 16 | -14.2 | -18.6 | 10.6 | 8.4 |
| 4 | 4#压气站 | 9 369 | 8 163 | 13 | -15.8 | -24.2 | 10.3 | 8.3 |
| 5 | 5#压气站 | 9 369 | 8 048 | 14 | -15.9 | -25.5 | 10.2 | 8.1 |
| 6 | 6#压气站 | 9 369 | 7 755 | 17 | -14.1 | -22.4 | 10.9 | 8.8 |
| 7 | 7#压气站 | 9 369 | 8 392 | 10 | -10.9 | -21.5 | 9.9 | 8.7 |
| 8 | 8#压气站 | 9 369 | 7 515 | 20 | 3.1 | -9.4 | 11.2 | 10.2 |
图6
图6
1#压气站失效后全线压力和温度曲线图
Fig.6
Pressure and tempetature graph of compressor station outage
3.2 应对方案
为减缓压气站失效停机工况下气体进行越站输送所产生的焦耳—汤姆逊降温效应,从主动保护提升温度角度出发,初步考虑可采取的解决方案包括提高失效压气站上游压气站出站温度、降低管道输量、额外增设加热站;从被动保护接受低温角度出发,对于低温超限管段选用能承受更低温度的管材等。具体方案的可行性需要通过进一步分析讨论确定。
3.2.1 提高失效压气站上游压气站出站温度
各压气站失效后,为防止下游压气站进站管道温度低于-20 ℃,可以提高失效压气站上游压气站出站温度,以提高因焦耳—汤姆逊效应降温的起始温度值。经过反复试算,失效后,失效压气站上游首个压气站所需提供的最低出站温度计算结果如表3所列。由计算结果可知,为保证压气站失效后,下游压气站进站管道温度不低于-20 ℃,除了2#压气站、6#压气站、7#压气站,上游供气净化厂、1#压气站、3#压气站、4#压气站和5#压气站所需提供的新的最低出站温度均需要在0 ℃以上,比原先温度要高出2.6~6.9 ℃,平均增温幅度4.6 ℃。但在多年冻土区,压气站出站温度若高于0 ℃,容易引起冻土的融化,导致管道发生融沉。故提高失效压气站上游压气站出站温度的方案虽然解决了管道承受低温超限的问题,但又产生了新的管道融沉问题。另外,该方案对减少管道输量损失的效果并不明显,输量损失大部分在15%以上。实际上,该方案的控温效果也值得商榷,一是压气站失效后,因焦耳—汤姆逊效应,天然气温度会持续降低;二是新的出站高温与冻土环境温度存在温差,提升的温度在前期阶段会被抵消。
表3 失效压气站上游首个压气站所需提供的最低出站温度计算表
Table 3
| 序号 | 失效压气站 | 失效前管道输气量 /(104 m3/d) | 失效后管道输气量 /(104 m3/d) | 输量损失/% | 原先上游首个压气站出站温度/℃ | 新的上游首个压气站所需提供的最低出站温度/℃ |
|---|---|---|---|---|---|---|
| 1 | 1#压气站 | 9 369 | 7 942 | 15 | -1.1 | 4 |
| 2 | 2#压气站 | 9 369 | 8 080 | 14 | -1.2 | 2 |
| 3 | 3#压气站 | 9 369 | 7 911 | 16 | -1.2 | -1.2 |
| 4 | 4#压气站 | 9 369 | 7 977 | 15 | -4 | 1.8 |
| 5 | 5#压气站 | 9 369 | 7 829 | 16 | -4 | 2.9 |
| 6 | 6#压气站 | 9 369 | 7 644 | 18 | -4 | 0 |
| 7 | 7#压气站 | 9 369 | 8 297 | 11 | -4 | -1.4 |
| 8 | 8#压气站 | 9 369 | 7 515 | 20 | -0.3 | -0.3 |
3.2.2 降低管道输量
降低管道输量可以直接缓解焦耳—汤姆逊效应降温程度,该方案是用牺牲管道输量的代价来换取管道承受低温不超限。经过反复试算,输量损失为13%~23%,其中,7#压气站失效后对管道输量的影响程度最小,输量损失为13%;2#压气站失效后,对管道输量影响最大,输量损失为23%。具体计算结果如表4所列。尽管该方案从根本上解决了低温超限温度,但具体操作难度很大。运行操作人员很难判断输量降低的幅度,除非事先在每个压气站安装了计量设施并内置精准的逻辑控制程序;即便是达到了管道低输量控制,离心式压缩机可能会因为入口流量过低,运行工况点偏移,发生喘振,若进行站内打回流操作,又造成额外能量的浪费;受现有技术制约,燃驱压缩机在低输量下可能污染排放物超限。
表4 各压气站失效对管道输量影响分析表
Table 4
| 序号 | 失效压气站 | 失效前管道输气量 /(104 m3/d) | 失效后管道输气量/ (104 m3/d) | 输量损失/% | 失效后下游首个压气站 进站温度/℃ |
|---|---|---|---|---|---|
| 1 | 1#压气站 | 9 369 | 7 414 | 21 | -20 |
| 2 | 2#压气站 | 9 369 | 7 921 | 20 | -20 |
| 3 | 3#压气站 | 9 369 | 7 911 | 16 | -18.6 |
| 4 | 4#压气站 | 9 369 | 7 454 | 20 | -19.2 |
| 5 | 5#压气站 | 9 369 | 7 203 | 23 | -20 |
| 6 | 6#压气站 | 9 369 | 7 300 | 22 | -20 |
| 7 | 7#压气站 | 9 369 | 8 132 | 13 | -20 |
| 8 | 8#压气站 | 9 369 | 7 515 | 20 | -9.4 |
3.2.3 额外增设加热站
该方案是考虑在8个压气站之间布置若干个独立加热站,在某压气站失效后,上游加热站立刻投用来提高输气温度。通过在4#压气站和5#压气站之间设置一个独立加热站为例来分析该方案的可行性。假设在4#压气站下游77.5 km处设置一个独立加热站,当5#压气站失效后,该独立加热站立刻投运,经计算发现,加热站进站温度-8.5 ℃,出站温度只要控制不低于-2 ℃,就可以有效控制5#压气站进站管道温度不低于-20 ℃。根据表2的计算结果进行判断,若采用该方案,需要在1#压气站和2#压气站之前、3#压气站和4#压气站之前、4#压气站和5#压气站之前、5#压气站和6#压气站之前、6#压气站和7#压气站之前分别设置独立压气站,全线一共需新增5个独立加热站。
3.2.4 讨论
在多年冻土区压气站失效停机工况下,气体进行越站输送,由于焦耳—汤姆逊效益,会出现失效压气站下游管道温度超限的工况,容易造成管道破裂。为此,通过采取措施如提高失效压气站上游压气站出站温度、降低管道输量、额外增设加热站等进行压气站失效情景的模拟计算分析。为达到压气站失效后下游管道承受低温不超限的目的,定量地给出了上游压气站出站需提高到的温度值、管道输量需降低的程度、需额外增设加热站数量等,各方案优缺点如表5所列。
表5 技术方案对比
Table 5
| 技术方案 | 缺点 | 优点 |
|---|---|---|
| 技术方案1:提高失效压气站上游压气站出站温度 | 1、过分提高压气站的出口温度,很容易引起冻土融化和管道融沉 2、新的出站高温与冻土环境温度存在温差,提升的温度在前期阶段会被抵消 | 不增加投资 |
| 技术方案2:降低管道输量 | 1、管道最高允许输量的确定受季节、压气站站间距等因素影响 2、压缩机进气量降低,容易引发喘振,若站内打回流避免喘振,又造成能量浪费 3、燃驱压缩机在低负荷运行,污染物排放容易超标 | 不增加投资 |
| 技术方案3:增设加热站 | 增加投资 | 保证管道继续在高输量下运行 |
| 技术方案4:在可能超低温管段选用高性能管材 | 增加投资 | 保证管道继续在高输量下运行 |
4 结论及建议
本文提出了多年冻土区天然气管道面临的特有技术问题,即压气站失效后,如何应对解决下游管道输气温度低于最低设计金属温度的难题。为科学评价提高失效压气站上游压气站出站温度、降低管道输量、额外增设加热站、对于低温超限管段选用能承受更低温度的管材等技术措施的应用效果,采用工艺仿真软件对压气站失效后不采取措施和采取不同措施的多种工况进行了定量计算并展开了分析讨论。
(1)从现有技术手段看,额外增设加热站,尽管增加工程投资,在管道正常运行时,这些额外增设的加热站无需投运,但在压气站失效后,其却是最可靠、最安全的技术应对方案。提高失效压气站上游压气站出站温度、降低管道输量、对于低温超限管段选用能承受更低温度的管材等技术措施或是技术不成熟,实现难度大,或是花费的代价远远超过额外增设加热站的投资。
(2)建议加大对低温环境下长输天然气管道用X80钢级管材低温断裂韧性研究,研发出能承受环境温度更低的高质量管材,确保韧脆脆性转变温度低于材料的最低设计温度,使其具有足够的防脆性开裂能力和抗裂纹扩展的止裂能力。同时兼顾材料的成本因素,具备在多年冻土区大面积推广使用的条件。如果材料问题得到有效解决,意味着多年冻土区天然气管道目前这一特殊问题将变得不再特殊。
参考文献
The changes of design of the Alyeska pipeline and construction modes in permafrost areas, and their reasons and the philosophy behind it
[J].
Norman wells pipeline settlement and uplift movements
[J].
Experiences and lessons learned in the engineering design and construction in the Alaska Arctic
[J].
阿拉斯加北极地区的工程设计和施工经验及教训
[J].
(Differential) frost heave and thaw settlement in the engineering design and construction of oil pipeline in permafrost regions: A review
[J].
多年冻土区输油管道工程中的(差异性) 融沉和冻胀问题
[J ].
Permafrost and environment problems along the Golmud-Lhasa oil product pipeline and their mitigation
[J].
格尔木—拉萨成品油管道沿线冻土工程和环境问题及其防治对策
[J].
Permafrost and cold-region environmental problems of the oil product pipeline from Golmud to Lhasa on the Qinghai-Tibet Plateau and their mitigation
[J].
Natural gas pipeline special design and construction in permafrost
[J].
阿拉斯加地区天然气管线的特殊设计和建设
[J].
Permafrost thawing along the China-Russia Crude Oil Pipeline and countermeasures: A case study in Jiagedaqi, Northeast China
[J].
Investigation of the freeze-thaw states of foundation soils in permafrost areas along the China-Russia Crude Oil Pipeline (CRCOP) route using the ground penetrating radar
[J].
Frost hazards and mitigative measures following operation of Mohe-Daqing line of China-Russia cude oil pipeline
[J].
中俄原油管道漠大线运营后面临一些冻害问题及防治措施建议
[J].
Pipelines in permafrost: Geotechnical issues and lessons
[J].
Experience and revelation learned from foreign pipeline construction projects in permafrost regions
[J].
国外多年冻土区管道建设的经验与启示
[J].
Secondary geohazards alone the operating Mohe-Jagdaqi section of China-Russia crude oil pipeline in permafrost regions: A case study on a seasonal frost mound at the site MDX364
[J].
漠河—加格达奇段多年冻土区中俄原油管道运营以来的次生地质灾害研究——以MDX364处的季节性冻胀丘为例
[J].
The limit state of pipeline based on stain design on cold regions
[J].
寒区输油管道基于应变设计的极限状态研究
[J].
The change of design of the Alyeska Pipeline and construction modes in permafrost areas, and their reasons and the philosophy behind it
[J].
阿拉斯加输油管的设计和施工方式方案变更过程及其背后的原因和哲学思想
[J].
Thermal-hydraulics modeling for buried gas pipeline strain-based design
[C]//
Geohazards and thermal regime analysis of oil pipeline along the Qinghai-Tibet Plateau Engineering Corridor
[J].
Monitoring on the temperature field around buried pipeline of Mohe-Daqing crude oil pipeline in the permafrost region
[J].
漠大多年冻土区埋地输油管道周围温度场监测
[J].
Frost heave predictions of buried chilled gas pipelines with the effect of permafrost
[J].
Research on freeze-thaw hazards and protective measures of buried hot oil pipeline in permafrost regions
[J].
冻土区埋地热油管道冻融危害及防护措施研究
[J].
Review of the coupled hydro-thermo-mechanical interaion of frozen soil
[J].
冻土水热力耦合研究现状及进展
[J].
Effect of freeze-thaw cycles in mechanical behaviors of frozen loess
[J].
.Intercations between the pipeline and soils in permafrost:A review
[J].
冻土区管土相互作用研究综述
[J].
Wu Qingbai. The linear engineering impact on the eco-environment in permafrost regions: Research status and prospect
[J].
多年冻土区线性工程的生态环境影响研究现状与展望
[J].
Arctic pipeline design challenges and current practices: Ice scour
[C]//Pipeline and Riser Technology
Study on engineering technology for pipelines in permafrost
[J].
多年冻土区管道的设计技术研究
[J].
Strain-based design criteria of pipelines
[J].
Reliability of large-diameter gaspipelines in northern Russia
[J].
Reliability of gas pipelines innorthern Russia
[J].
/
| 〈 |
|
〉 |


甘公网安备62010202000687