多年冻土区天然气管道压气站失效情境下应对方案研究 |
| 李欣泽, 金会军, 吴青柏 |
|
Study on Mitigative Measures in Case of Compressor Station Outage for Gas Pipelines in Permafrost Regions |
| Xinze Li, Huijun Jin, Qingbai Wu |
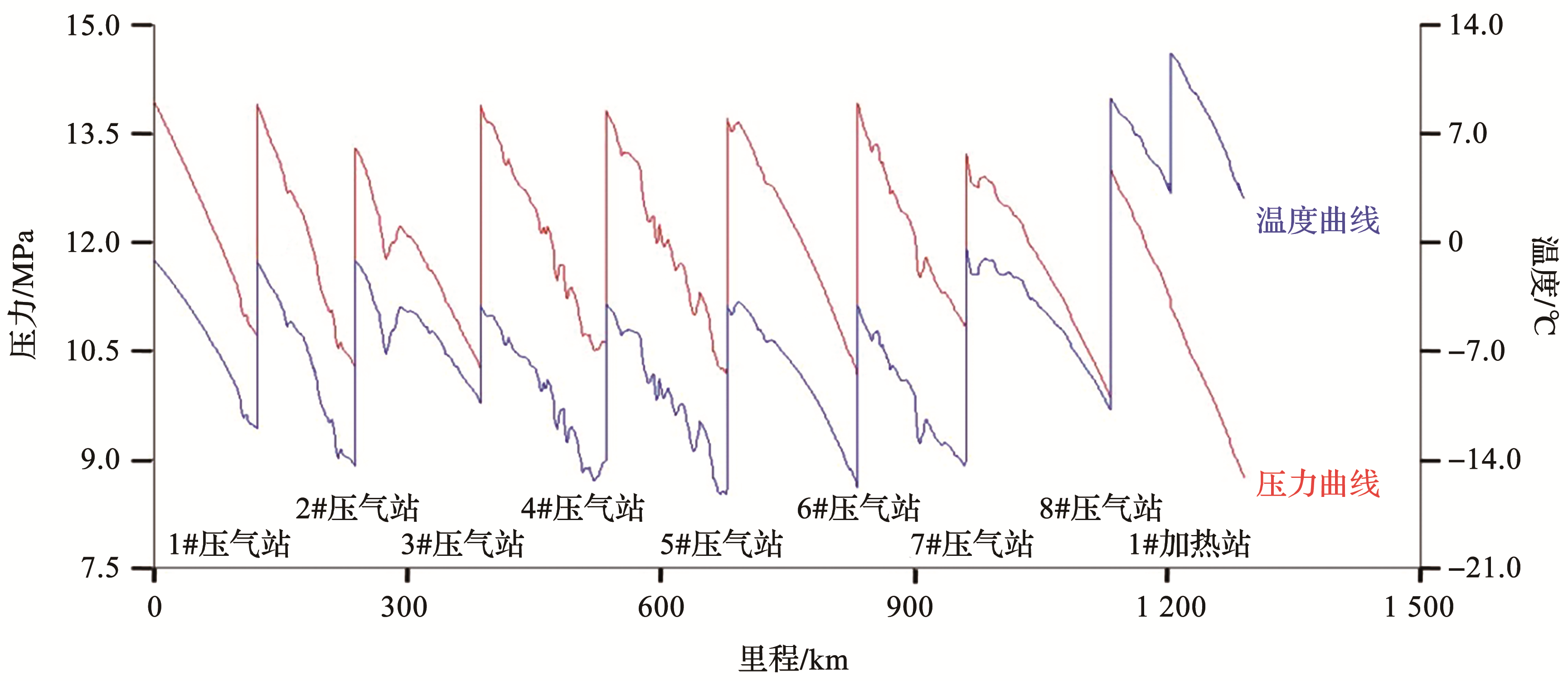
| 图5 某多年冻土区天然气管道沿线压力和温度曲线图(冬季工况) |
| Fig.5 Pressure and tempetature graph of one arctic gas pipeline (winter scenario) |
|