1 引 言
2 研究区地质概况
2.1 成矿地质背景
图1 江南造山带及沃溪矿区地质构造简图(a)江南造山带(据参考文献[19]修改);(b)沃溪矿区地质构造简图(据参考文献[20]修改) Fig. 1 The Jiangnan orogenic belt and geological structure schematic of the Woxi mining area (a) The Jiangnan Orogenic Belt (modified after reference [19]); (b) Geological structure schematic of the Woxi mine area (modified after reference [20]) |
2.2 有机烃地球化学特征
表1 湖南沃溪金矿鱼儿山矿段不同地质体烃类组分含量特征Table 1 Content characteristics of hydrocarbon component in different geobodies of mine district in the Yuershan section of Woxi Gold Mine, Hunan Province |
| 矿区 | 特征值(样品数) | Au/(ng/g) | 甲烷/(μL/kg) | 乙烷/(μL/kg) | 丙烷/(μL/kg) | 异丁烷/(μL/kg) | 正丁烷/(μL/kg) | 异戊烷/(μL/kg) | 正戊烷/(μL/kg) | 乙烯/(μL/kg) | 丙烯/(μL/kg) | Hg/(ng/g) |
|---|---|---|---|---|---|---|---|---|---|---|---|---|
| 沃溪金矿体 | 区域背景(25) | 8.91 | 161.20 | 34.42 | 20.62 | 1.46 | 6.51 | 1.20 | 1.80 | 28.80 | 21.33 | 2.20 |
| 矿区背景(43) | 17.20 | 817.30 | 150.30 | 69.06 | 4.70 | 21.05 | 3.70 | 5.60 | 125.11 | 82.01 | 3.90 | |
| 矿体(46) | 3 000.00 | 5 877.00 | 865.20 | 272.10 | 17.08 | 79.04 | 12.03 | 22.04 | 747.01 | 504.02 | 36.02 | |
| 强蚀变岩(46) | 1 246.00 | 4 331.00 | 626.10 | 199.30 | 13.06 | 62.06 | 10.04 | 17.06 | 576.02 | 411.01 | 36.03 | |
| 弱蚀变岩(46) | 284.20 | 1 010.00 | 163.20 | 59.04 | 4.07 | 18.07 | 3.07 | 5.01 | 138.10 | 91.02 | 89.01 | |
| 含钙板岩(46) | 28.32 | 501.24 | 81.83 | 31.52 | 2.08 | 9.21 | 1.50 | 3.03 | 64.61 | 40.90 | 6.50 | |
| 沃溪外围 | 矿化体(32) | 30.82 | 180.90 | 26.42 | 13.34 | 0.98 | 4.48 | 0.90 | 1.38 | 29.52 | 21.60 | 0.83 |
| 强蚀变(32) | 51.06 | 175.50 | 28.63 | 17.92 | 1.30 | 6.01 | 1.18 | 1.92 | 30.31 | 21.90 | 4.73 | |
| 弱蚀变(32) | 1.39 | 60.13 | 8.01 | 4.62 | 0.38 | 1.54 | 0.31 | 0.53 | 9.11 | 6.06 | 0.89 | |
| 含钙板岩(32) | 2.38 | 77.43 | 10.23 | 6.19 | 0.52 | 2.21 | 0.47 | 0.74 | 12.30 | 9.46 | 0.52 |
表2 湖南沃溪金矿鱼儿山矿段各指标相关系数统计表Table 2 Statistical table of correlation coefficients of various indicators in the Yuershan section of Woxi Gold Mine, Hunan Province |
| 指标 | Au | 甲烷 | 乙烷 | 丙烷 | 异丁烷 | 正丁烷 | 异戊烷 | 正戊烷 | 乙烯 | 丙烯 | Hg |
|---|---|---|---|---|---|---|---|---|---|---|---|
| Au | 1.00 | ||||||||||
| 甲烷 | 0.63 | 1.00 | |||||||||
| 乙烷 | 0.64 | 0.99 | 1.00 | ||||||||
| 丙烷 | 0.56 | 0.98 | 0.99 | 1.00 | |||||||
| 异丁烷 | 0.55 | 0.98 | 0.98 | 0.99 | 1.00 | ||||||
| 正丁烷 | 0.57 | 0.98 | 0.99 | 0.99 | 0.99 | 1.00 | |||||
| 异戊烷 | 0.54 | 0.98 | 0.98 | 0.99 | 0.99 | 0.99 | 1.00 | ||||
| 正戊烷 | 0.57 | 0.98 | 0.99 | 0.99 | 0.99 | 0.99 | 0.99 | 1.00 | |||
| 乙烯 | 0.68 | 0.99 | 0.99 | 0.98 | 0.98 | 0.98 | 0.97 | 0.98 | 1.00 | ||
| 丙烯 | 0.72 | 0.98 | 0.98 | 0.97 | 0.97 | 0.97 | 0.96 | 0.97 | 0.99 | 1.00 | |
| Hg | 0.70 | 0.29 | 0.34 | 0.26 | 0.25 | 0.28 | 0.25 | 0.30 | 0.37 | 0.41 | 1.00 |
表3 湖南沃溪金矿外围矿化体各指标相关系数统计表Table 3 Statistical table of correlation coefficients of various indicators in the peripheral mineralization body of Woxi Gold Mine, Hunan Province |
| 指标 | Au | 甲烷 | 乙烷 | 丙烷 | 异丁烷 | 正丁烷 | 异戊烷 | 正戊烷 | 乙烯 | 丙烯 | Hg |
|---|---|---|---|---|---|---|---|---|---|---|---|
| Au | 1.00 | ||||||||||
| 甲烷 | 0.01 | 1.00 | |||||||||
| 乙烷 | 0.01 | 0.99 | 1.00 | ||||||||
| 丙烷 | 0.03 | 0.93 | 0.95 | 1.00 | |||||||
| 异丁烷 | 0.07 | 0.88 | 0.91 | 0.99 | 1.00 | ||||||
| 正丁烷 | 0.05 | 0.91 | 0.94 | 1.00 | 1.00 | 1.00 | |||||
| 异戊烷 | 0.07 | 0.86 | 0.89 | 0.99 | 1.00 | 0.99 | 1.00 | ||||
| 正戊烷 | 0.04 | 0.90 | 0.93 | 0.99 | 1.00 | 1.00 | 0.99 | 1.00 | |||
| 乙烯 | 0.00 | 0.99 | 1.00 | 0.95 | 0.91 | 0.94 | 0.89 | 0.93 | 1.00 | ||
| 丙烯 | 0.01 | 0.99 | 0.99 | 0.96 | 0.93 | 0.95 | 0.91 | 0.94 | 1.00 | 1.00 | |
| Hg | 0.66 | 0.01 | 0.02 | 0.04 | 0.04 | 0.04 | 0.03 | 0.05 | 0.00 | 0.01 | 1.00 |
3 方法与结果
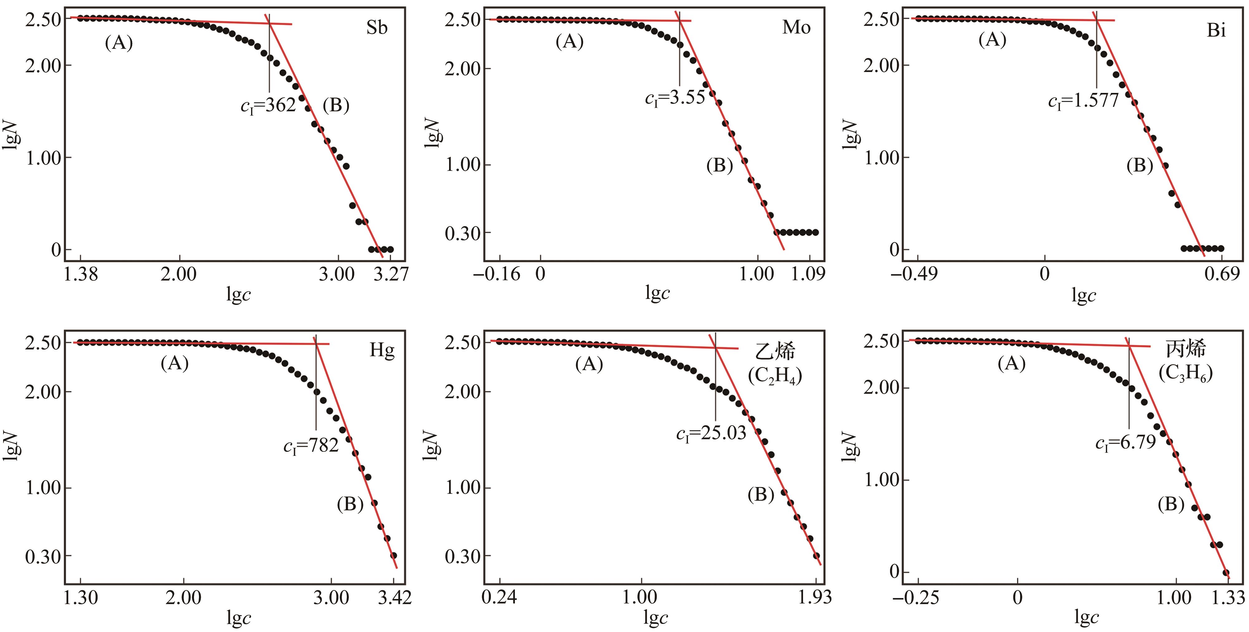
3.1 C-A多重分形模型
3.2 深度挖掘的复杂叠加异常的分类
3.2.1 相关分析
表5 Ⅰ号异常带土壤各指标相关系数统计表Table 5 Statistical table of correlation coefficients for various indicators of soil in area Ⅰ |
| 指标 | As | Mo | Sb | W | Au | Bi | 甲烷 | 乙烷 | 丙烷 | 正丁 | 异丁 | 异戊 | 正戊 | 乙烯 | 丙烯 | Hg |
|---|---|---|---|---|---|---|---|---|---|---|---|---|---|---|---|---|
| As | 1.00 | |||||||||||||||
| Mo | 0.51 | 1.00 | ||||||||||||||
| Sb | 0.89 | 0.39 | 1.00 | |||||||||||||
| W | 0.73 | 0.25 | 0.73 | 1.00 | ||||||||||||
| Au | 0.81 | 0.18 | 0.76 | 0.66 | 1.00 | |||||||||||
| Bi | 0.79 | 0.39 | 0.65 | 0.67 | 0.74 | 1.00 | ||||||||||
| 甲烷 | -0.06 | -0.11 | -0.03 | 0.12 | 0.08 | -0.01 | 1.00 | |||||||||
| 乙烷 | -0.06 | -0.11 | -0.02 | 0.12 | 0.09 | -0.01 | 0.99 | 1.00 | ||||||||
| 丙烷 | -0.06 | -0.11 | -0.03 | 0.12 | 0.08 | -0.01 | 1.00 | 1.00 | 1.00 | |||||||
| 正丁 | -0.06 | -0.11 | -0.02 | 0.12 | 0.08 | -0.01 | 0.99 | 1.00 | 1.00 | 1.00 | ||||||
| 异丁 | -0.07 | -0.11 | -0.03 | 0.11 | 0.08 | -0.02 | 0.99 | 0.99 | 0.99 | 0.99 | 1.00 | |||||
| 异戊 | -0.06 | -0.11 | -0.03 | 0.11 | 0.08 | -0.02 | 0.99 | 0.98 | 0.99 | 0.99 | 1.00 | 1.00 | ||||
| 正戊 | -0.07 | -0.11 | -0.03 | 0.12 | 0.08 | -0.02 | 0.96 | 0.96 | 0.97 | 0.99 | 0.99 | 0.95 | 1.00 | |||
| 乙烯 | 0.03 | 0.23 | -0.02 | 0.00 | -0.05 | -0.01 | -0.10 | -0.18 | -0.14 | -0.10 | -0.12 | -0.12 | -0.05 | 1.000 | ||
| 丙烯 | 0.18 | 0.06 | 0.10 | 0.19 | 0.13 | 0.22 | -0.09 | -0.07 | -0.08 | -0.08 | -0.11 | -0.12 | -0.060 | 0.58 | 1.00 | |
| Hg | 0.78 | 0.20 | 0.66 | 0.62 | 0.88 | 0.84 | -0.02 | -0.02 | -0.02 | -0.02 | -0.03 | -0.03 | -0.031 | -0.06 | 0.21 | 1.00 |
表6 Ⅱ号异常带土壤各指标相关系数统计表Table 6 Statistical table of correlation coefficients for various indicators of soil in area Ⅱ |
| 指标 | As | Mo | Sb | W | Au | Bi | 甲烷 | 乙烷 | 丙烷 | 正丁 | 异丁 | 异戊 | 正戊 | 乙烯 | 丙烯 | Hg |
|---|---|---|---|---|---|---|---|---|---|---|---|---|---|---|---|---|
| As | 1.00 | |||||||||||||||
| Mo | 0.19 | 1.00 | ||||||||||||||
| Sb | 0.70 | 0.19 | 1.00 | |||||||||||||
| W | 0.24 | 0.02 | 0.43 | 1.00 | ||||||||||||
| Au | 0.37 | 0.03 | 0.61 | 0.87 | 1.00 | |||||||||||
| Bi | 0.37 | 0.12 | 0.44 | 0.07 | 0.16 | 1.00 | ||||||||||
| 甲烷 | 0.23 | 0.22 | 0.14 | 0.18 | 0.25 | 0.15 | 1.00 | |||||||||
| 乙烷 | 0.09 | 0.15 | 0.10 | 0.21 | 0.26 | 0.03 | 0.78 | 1.00 | ||||||||
| 丙烷 | 0.14 | 0.15 | 0.20 | 0.11 | 0.17 | 0.12 | 0.39 | 0.80 | 1.00 | |||||||
| 正丁 | 0.21 | 0.14 | 0.31 | 0.12 | 0.21 | 0.16 | 0.35 | 0.75 | 0.94 | 1.00 | ||||||
| 异丁 | 0.21 | 0.18 | 0.37 | 0.29 | 0.38 | 0.30 | 0.55 | 0.80 | 0.83 | 0.82 | 1.00 | |||||
| 异戊 | 0.43 | 0.28 | 0.42 | 0.07 | 0.12 | 0.20 | 0.34 | 0.47 | 0.60 | 0.67 | 0.63 | 1.00 | ||||
| 正戊 | 0.55 | 0.27 | 0.58 | 0.03 | 0.14 | 0.33 | 0.27 | 0.32 | 0.49 | 0.60 | 0.48 | 0.84 | 1.00 | |||
| 乙烯 | 0.38 | 0.09 | 0.48 | 0.10 | 0.06 | 0.35 | 0.03 | 0.09 | 0.23 | 0.27 | 0.23 | 0.35 | 0.56 | 1.00 | ||
| 丙烯 | 0.42 | 0.20 | 0.40 | 0.06 | 0.02 | 0.20 | 0.08 | 0.12 | 0.39 | 0.38 | 0.42 | 0.57 | 0.59 | 0.73 | 1.00 | |
| Hg | 0.53 | 0.10 | 0.63 | 0.37 | 0.36 | 0.36 | 0.06 | 0.11 | 0.34 | 0.36 | 0.34 | 0.34 | 0.51 | 0.63 | 0.54 | 1.00 |
表7 Ⅲ号异常带土壤各指标相关系数统计表Table 7 Statistical table of correlation coefficients for various indicators of soil in area Ⅲ |
| 指标 | As | Mo | Sb | W | Au | Bi | 甲烷 | 乙烷 | 丙烷 | 正丁 | 异丁 | 异戊 | 正戊 | 乙烯 | 丙烯 | Hg |
|---|---|---|---|---|---|---|---|---|---|---|---|---|---|---|---|---|
| As | 1.00 | |||||||||||||||
| Mo | 0.15 | 1.00 | ||||||||||||||
| Sb | 0.16 | 0.14 | 1.00 | |||||||||||||
| W | 0.99 | 0.11 | 0.08 | 1.00 | ||||||||||||
| Au | 0.99 | 0.07 | 0.15 | 0.99 | 1.00 | |||||||||||
| Bi | 0.25 | 0.13 | 0.40 | 0.21 | 0.21 | 1.00 | ||||||||||
| 甲烷 | 0.05 | 0.27 | 0.24 | 0.07 | 0.03 | 0.27 | 1.00 | |||||||||
| 乙烷 | 0.09 | 0.34 | 0.27 | 0.10 | 0.07 | 0.26 | 0.98 | 1.00 | ||||||||
| 丙烷 | 0.13 | 0.33 | 0.31 | 0.15 | 0.11 | 0.13 | 0.93 | 0.96 | 1.00 | |||||||
| 正丁 | 0.10 | 0.33 | 0.34 | 0.13 | 0.09 | 0.01 | 0.84 | 0.87 | 0.94 | 1.00 | ||||||
| 异丁 | 0.14 | 0.32 | 0.32 | 0.17 | 0.12 | 0.02 | 0.84 | 0.89 | 0.98 | 0.96 | 1.00 | |||||
| 异戊 | 0.13 | 0.09 | 0.25 | 0.17 | 0.13 | 0.14 | 0.45 | 0.51 | 0.66 | 0.72 | 0.75 | 1.00 | ||||
| 正戊 | 0.07 | 0.06 | 0.26 | 0.12 | 0.09 | 0.27 | 0.28 | 0.35 | 0.55 | 0.63 | 0.70 | 0.81 | 1.00 | |||
| 乙烯 | 0.13 | 0.10 | 0.22 | 0.16 | 0.13 | 0.25 | 0.31 | 0.36 | 0.57 | 0.63 | 0.69 | 0.66 | 0.84 | 1.00 | ||
| 丙烯 | 0.13 | 0.23 | 0.27 | 0.15 | 0.11 | 0.10 | 0.86 | 0.87 | 0.94 | 0.92 | 0.93 | 0.67 | 0.60 | 0.69 | 1.00 | |
| Hg | 0.228 | 0.04 | 0.63 | 0.17 | 0.20 | 0.62 | 0.04 | 0.003 | 0.11 | 0.23 | 0.19 | 0.18 | 0.39 | 0.40 | 0.17 | 1.00 |
表8 Ⅳ号异常带土壤各指标相关系数统计表Table 8 Statistical table of correlation coefficients for various indicators of soil in area Ⅳ |
| 指标 | As | Mo | Sb | W | Au | Bi | 甲烷 | 乙烷 | 丙烷 | 正丁 | 异丁 | 异戊 | 正戊 | 乙烯 | 丙烯 | Hg |
|---|---|---|---|---|---|---|---|---|---|---|---|---|---|---|---|---|
| As | 1.00 | |||||||||||||||
| Mo | 0.67 | 1.00 | ||||||||||||||
| Sb | 0.84 | 0.27 | 1.00 | |||||||||||||
| W | 0.64 | 0.16 | 0.63 | 1.00 | ||||||||||||
| Au | 0.86 | 0.75 | 0.60 | 0.69 | 1.00 | |||||||||||
| Bi | 0.56 | 0.01 | 0.75 | 0.35 | 0.31 | 1.00 | ||||||||||
| 甲烷 | 0.51 | 0.21 | 0.58 | 0.39 | 0.33 | 0.53 | 1.00 | |||||||||
| 乙烷 | 0.52 | 0.23 | 0.58 | 0.39 | 0.35 | 0.54 | 0.99 | 1.00 | ||||||||
| 丙烷 | 0.51 | 0.17 | 0.60 | 0.40 | 0.32 | 0.57 | 0.97 | 0.99 | 1.00 | |||||||
| 正丁 | 0.36 | 0.01 | 0.50 | 0.35 | 0.18 | 0.55 | 0.88 | 0.91 | 0.94 | 1.00 | ||||||
| 异丁 | 0.51 | 0.13 | 0.62 | 0.43 | 0.31 | 0.56 | 0.92 | 0.95 | 0.99 | 0.94 | 1.00 | |||||
| 异戊 | 0.33 | 0.01 | 0.50 | 0.25 | 0.12 | 0.51 | 0.77 | 0.81 | 0.89 | 0.91 | 0.93 | 1.00 | ||||
| 正戊 | 0.50 | 0.11 | 0.60 | 0.53 | 0.38 | 0.44 | 0.65 | 0.67 | 0.72 | 0.69 | 0.77 | 0.74 | 1.00 | |||
| 乙烯 | 0.59 | 0.13 | 0.67 | 0.70 | 0.49 | 0.51 | 0.71 | 0.73 | 0.76 | 0.74 | 0.80 | 0.70 | 0.90 | 1.00 | ||
| 丙烯 | 0.43 | 0.06 | 0.64 | 0.46 | 0.22 | 0.64 | 0.93 | 0.93 | 0.94 | 0.91 | 0.93 | 0.83 | 0.75 | 0.81 | 1.00 | |
| Hg | 0.59 | 0.29 | 0.53 | 0.14 | 0.43 | 0.72 | 0.30 | 0.33 | 0.35 | 0.28 | 0.32 | 0.28 | 0.21 | 0.22 | 0.30 | 1.00 |
3.2.2 R型聚类分析
3.2.3 因子分析
表9 因子分析—正交旋转载荷矩阵结果Table 9 The results of factor analysis-orthogonal rotation load matrix |
| 指标 | 同生叠加异常 | 深源叠加异常 | ||||
|---|---|---|---|---|---|---|
| F1 | F2 | F3 | F1 | F2 | F3 | |
| As | 0.97 | 0.07 | -0.06 | 0.01 | 0.62 | 0.37 |
| Mo | 0.78 | 0.17 | -0.17 | 0.09 | 0.13 | 0.09 |
| Sb | 0.93 | 0.01 | 0.05 | 0.06 | 0.67 | 0.57 |
| W | 0.89 | 0.11 | 0.04 | 0.12 | 0.01 | 0.92 |
| Au | 0.85 | -0.01 | -0.15 | 0.16 | 0.07 | 0.94 |
| Bi | 0.88 | 0.24 | 0.14 | 0.01 | 0.45 | 0.19 |
| 甲烷 | 0.17 | 0.95 | -0.03 | 0.59 | 0.14 | 0.20 |
| 乙烷 | 0.10 | 0.98 | 0.01 | 0.93 | 0.14 | 0.16 |
| 丙烷 | 0.07 | 0.96 | 0.16 | 0.92 | 0.23 | 0.01 |
| 异丁 | 0.15 | 0.93 | 0.14 | 0.89 | 0.30 | 0.04 |
| 正丁 | 0.06 | 0.90 | 0.34 | 0.87 | 0.23 | 0.23 |
| 异戊 | 0.07 | 0.15 | 0.04 | 0.61 | 0.52 | 0.05 |
| 正戊 | -0.07 | 0.22 | 0.93 | 0.42 | 0.72 | 0.01 |
| 乙烯 | -0.01 | 0.24 | 0.91 | 0.04 | 0.88 | 0.13 |
| 丙烯 | 0.16 | 0.86 | 0.25 | 0.27 | 0.79 | 0.15 |
| Hg | 0.87 | 0.21 | 0.05 | 0.15 | 0.75 | 0.38 |
| 主因子方差贡献 | 5.58 | 5.48 | 1.99 | 4.29 | 4.03 | 5.53 |
4 结果分析
5 工程验证与应用效果
表10 工程验证及金矿(化)体地球化学特征Table 10 Engineering validation and geochemical characteristics of gold deposits |
| 验证区 | 异常类别 | 参与统计的工程数(样品数) | 金矿(化)体地球化学特征 | |||||||
|---|---|---|---|---|---|---|---|---|---|---|
| Au/(g/t) | 厚度/m | C1/(μL/kg) | C2/(μL/kg) | C3/(μL/kg) | 相关性 | 聚类分析 | 因子分析 | |||
| Ⅱ号和Ⅳ号异常带 | 深源叠加异常 | 5个中段、8个见矿孔(85个) | 1.23~5.21 | 2.00~8.58 | 5 638.00 | 1 243 | 142.11 | 0.45~0.65 | 显示出Au-W、Au-Sb两期叠加成矿元素(组分)组合特征 | 显示以Au-W、Au-Sb两期叠加元素(组分)组合因子 |
| Ⅰ号和Ⅲ号异常带 | 同生叠加异常 | 5个不见矿孔(42个) | 0.12~0.63 | 5.00~5.56 | 287.00 | 56 | 10.31 | 0.03~0.11 | 显示出Au-W单一成矿期元素(组分)组合特征 | 显示以Au-W单一成矿期元素(组分)组合因子 |

甘公网安备62010202000687