Argus系统在我国海滩研究中的应用进展与展望
Application Progress and Prospect of Argus System in Beach Research in China
收稿日期: 2018-12-20 修回日期: 2019-03-12 网络出版日期: 2019-06-11
| 基金资助: |
|
Received: 2018-12-20 Revised: 2019-03-12 Online: 2019-06-11
作者简介 About authors
时连强(1977-),男,山东青州人,正高级工程师,主要从事河口海岸动力地貌学研究.E-mail:lqshi@sio.org.cn
对海滩系统演变规律的准确把握,依赖于可靠、连续、长期的测量数据。由于Argus视频监测系统具有实时、低成本、操作简单、适应性强、分辨率较高和可提供连续数据等优点,因此,近年来该技术发展迅速,研究应用领域逐渐扩大。在简要说明Argus系统组成的基础上,详细介绍了该系统在我国海滩研究中的应用情况,分析了所提取数据的精度。结果显示垂向误差平均值为0.145 m,平面距离误差平均值为11.73 m,误差大小与到Argus观测站的距离有很大关系,距离越近,误差越小。Argus系统在国外海滩研究中已经获得了比较广泛的应用,而国内尚处于起步阶段,未来有望在海岸工程建设评估、近岸水动力监测与地形反演、海滩旅游管理与河口沙嘴动力地貌变化研究等方面提供更强大和完善的技术支撑。
关键词:
Reliable, continuous and long-term data is needed in order to understand precisely the evolution of a beach system. Because of the advantages of real-time, low cost, simple operation, strong adaptability, high resolution and continuous data, Argus video monitoring system has developed rapidly in recent years, and its research and application fields have gradually expanded. Composition of the Argus system was briefly introduced, and the application of this system in beach research in China was described, and the accuracy of the extracted data was analysed. It was shown that the average vertical and plane distance error is 0.145 m and 11.73 m respectively, which depends on the distance from Argus observatory. Argus system has been widely used in beach research abroad, but it is still in the early stage in China. In the future, it is expected to provide more powerful and perfect technical support in coastal engineering construction evaluation, coastal hydrodynamic monitoring and bathymetry inversion, beach tourism management and research on morphodynamic evolution of estuary sand spits.
Keywords:
本文引用格式
时连强, 郭俊丽, 刘海江, 叶清华.
Shi Lianqiang, Guo Junli, Liu Haijiang, Ye Qinghua.
1 引 言
我国海滩资源分布范围较广,沿海各省市均有分布,但分布极不均匀,有的沿海省市比较稀少,譬如江苏省、浙江省和上海市。随着全球海平面的上升以及人类活动的影响,原本脆弱不堪的海滩正在遭受缓慢持续的破坏,我国70%左右的海滩遭受侵蚀并出现不同程度的退化,这已成为海滩资源保护面临的一个普遍问题[1]。为此,首先需要准确把握海滩系统的演变规律,而这依赖于可靠、连续和长期的测量数据。
近20年来基于海岸线的近岸视频观测技术被成功引入到海岸带的野外监测研究领域。由于该技术具有实时、低成本、操作简单、适应性强、分辨率较高和可提供连续数据等优点,因此,近年来该技术发展迅速,研究应用领域逐渐扩大,全球海岸带监测体系也在不断构建完善,在海岸带的管理利用及保护、海岸工程实地研究和沿海防灾减灾等领域发挥着越来越重要的作用[2]。
本文在简要介绍近岸视频观测系统(Argus)组成的基础上,结合其在浙江舟山朱家尖岛东沙海滩的首次应用,分析了该技术的通用性和优缺点,并对未来应用前景进行了展望,期望以此进一步推动该监测技术在我国海滩乃至海岸带监视监测中的应用,提升我国海岸带科学监测与管理水平。
2 Argus系统组成
图1
Argus的后处理软件系统是由荷兰Deltares公司基于MATLAB语言开发的,通过连接数据库,可以实现对Argus图像数据的管理、查询与自动化处理,其应用模块主要包括:图像数据库管理(DBOrganizer, DBO)、控制点查询(Find Geometry, FG)、图像融合(ArgusMergeTool, AMT)、图像叠加(ArgusStackTool, AST)、动画制作(MovieMaker)、水边线提取(IBMapper, IBM)和潮间带地形反演(iBathy)等,其中AMT与IBM为核心模块。下面简要介绍这2个模块的功能与工作原理。
2.1 AMT应用模块
AMT应用模块用于Argus图像的坐标转换与图像校正,并且能实现将多个相机的图像进行融合,以获得所监视海滩的全景图与平面图。
图2
式中:系数L1~L11是7个未知量(τ, φ, σ),(xc, yc,zc)和f的线性函数。这7个未知量可以通过已知图像和现实世界坐标获取的一系列参考点[也称为地面控制点(Ground Control Points,GCP)]来确定。为此需要在硬件系统安装好后,测量海滩周边明显轮廓点以及滩面上一些点的地理坐标和高程。通过图像校正与坐标转换,将处理后所有摄像头的图像以一定的角度融合,就可以获得海滩的全景图与平面图。
2.2 IBM应用模块
在利用Argus系统量化海滩地形时首先要提取海滩各个时刻的水边线,而水边线是通过Argus系统中的IBM应用模块获取的,其工作界面如图3所示。
图3
IBM应用模块主要包含2个模型:水边线识别模型和水边线高程模型。前者的工作原理是根据图像颜色或亮度的独特强度值来区分干像素和湿像素的聚类。IBM将感兴趣区内的像素强度转换为处理颜色(色调和饱和度)和亮度信息的HSV(“Hue Saturation Value”)色彩空间(图4)。其中色调范围介于0~1,从红色(色调= 0)经过橙色、黄色、绿色(色调= 0.5)、蓝色、紫色和再次回到红色(色调=1)。对于黑色和白色,饱和度为0~1,对于主颜色(红、绿和蓝)和次颜色(青、品红和黄)采用值1。色彩值信息包含亮度级别,范围为0~1,0代表黑色,1代表白色。IBM水边线识别首先是在兴趣区(Region Of Interest, ROI)内进行像素强度值采样,然后在色相饱和空间中对这些强度进行分类,进而对原始像素强度进行滤波以去除异常值,并在0~1进行缩放以改善干燥和湿润像素群之间的对比度[6]。
图4
由于Argus系统中的IBM模型旨在从时均图像中识别水边线的位置,因此IBM高程模型必须考虑在平均时间内影响水边线瞬时位置的所有物理过程,即潮位、风生或浪生增水、破波引起的波增水和漩涡振荡等。水边线高程Z0受参考水位Zref以上的潮汐变化ΔZtide、风暴潮引起增加的水位ΔZstorm以及局部风增水ΔZwind的共同影响,公式如下:
水边线的高程最好采用在野外测站或感兴趣区10 km内的测量水位数据,以估算ΔZtide和ΔZstorm的贡献量。如果没有本地测量的水位数据,ΔZtide和ΔZstorm也可以通过潮汐和风暴潮模型计算出来[6]。
3 Argus系统在我国海滩研究中的应用
2015年5月,原国家海洋局第二海洋研究所(现为自然资源部第二海洋研究所)率先在浙江舟山朱家尖岛的东沙海滩建成了中国大陆首套Argus系统观测站(图5)。该系统安装在海天台宾馆楼顶上,由6台摄像机组成,其中4台(C1~C4)监测海滩南部与中部,另外2台(C5~C6)监测海滩北部。所用摄像机型号为美国Pelco模拟相机,拍摄频率为2 Hz,图像分辨率为2 448×2 048。
图5
图5
安装在浙江朱家尖岛东沙海滩的Argus系统
Fig.5
Argus system situated at the Dongsha Beach on Zhujiajian Island in Zhejiang Province
后来,河北省地矿局秦皇岛矿产水文工程地质大队在秦皇岛西海滩、中国地质调查局青岛海洋地质研究所在威海市文登南海新区金沙滩、华东师范大学河口海岸学国家重点实验室在上海崇明东滩也陆续建立了Argus观测站,由此可见,Argus系统在国内已呈星火燎原之势。
图6
图6
东沙海滩中部区域夏季(a)和冬季(b)的地形地貌
Fig. 6
Topographic features of the central area of Dongsha Beach in summer (a) and winter (b)
蓝色线为当天最高与最低潮位线,红色线所围区域为砾石分布区
The blue line is the highest and lowest tidal level on that day, and the red line is the gravel distribution area
图7
图7
2016年9月17日滩面地形图
Fig.7
Topographic map of Dongsha beach on September 17, 2016
(1)风暴“马勒卡”发生后海滩单宽体积变化量平均值为-73.75 m3/m,风暴“暹芭”发生后海滩单宽体积变化量的平均值为-54.56 m3/m。连续风暴发生前后海滩的侵蚀程度整体呈现出:直线段>上岬角遮蔽段>下岬角遮蔽段,剖面形态的变化均表现出以浙江沿海的多年平均海平面为界、上冲下淤的基本特征,而另外一小部分剖面呈现出几乎整个剖面的侵蚀。海滩各剖面的坡度在风暴发生后皆呈变缓趋势。
(2)风暴“马勒卡”使整个海滩滨线平均后退14.75 m,风暴“暹芭”使得海滩滨线相对于2次风暴前后退10.91 m;风暴发生前,海滩平均滩面宽度为113.06 m,第一次风暴发生后海滩宽度变为98.31 m,第二次风暴发生后宽度则又变为102.15 m。
4 数据精度分析
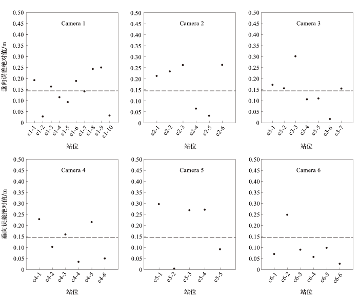
利用Argus视频图像监测系统中的iBathy模块可以获得整个滩面的地形数据,其所采用的插值方法为线性插值。为了验证所获数据的误差,我们使用RTK GPS于2016年5月4日对东沙海滩进行了一次现场勘测,在潮间带内测量41个控制点以验证视频测量数据的精度(高程均为国家85高程),C1~C6摄像头覆盖范围内控制点数分别为11,6,7,6,5和6个(图8)。
图8
将RTK GPS滩面地形勘测点及Argus地形插值结果中对应点的高程进行比较,发现垂向平均相对误差为15%且误差全部分布在0.3 m以下(图9),6个摄像头(C1~C6)误差平均值为0.145 m,小于视频监测系统设计时的误差最大值0.25 m,这与很多已有研究的误差值相当[4,9,10,11,12,13]。通过比较2个控制点之间的实测距离与Argus数据算得的2点距离可以测算平面距离误差(图10),得出平面距离误差平均值为11.73 m(剔除异常值),误差值主要集中在0~10 m,误差众数在允许范围(0.5~20 m)内[6]。误差分布呈现出以下规律:离Argus观测站距离越近,垂向和平面误差越小;误差控制点之间的间距越大,平面距离误差越大。
图9
图10
5 应用展望
由于Argus视频图像监测系统不仅能够提供长期、实时、连续、高分辨率的海滩地形地貌数据,而且在极端天气情况下也能照常监测,因此,近年来,Argus视频监测系统在国外海滩研究中得到了越来越多的应用。相对而言,Argus在国内的应用和研究尚处于起步阶段,未来有望在以下几个方面获得更多进展:
(1) 海岸工程建设评估方面
(2) 近岸水动力监测与地形反演方面
近岸破波带水动力与水深地形的获取一直以来都是海滩监测中的一个弱点和难点,之前的尝试大多基于间歇性现场测量或数值模型,缺乏长期、连续的测量数据。不过,随着Argus监测系统技术的发展,这一难题有望得以解决。
(3) 海滩旅游管理方面
(4) 河口沙嘴动力地貌变化研究
6 结 论
由于海滩侵蚀和退化已成为海滩资源保护面临的一个普遍问题,为此,首先需要准确把握海滩系统的演变规律,而这依赖于可靠、连续、长期的测量数据。由于Argus视频监测系统具有实时、低成本、操作简单、适应性强、分辨率较高、可提供连续数据等诸多优点,因此,近年来该技术在国外海滩研究中发展迅速,已经获得了比较广泛的应用,但在国内尚处于起步阶段。本文在简要说明Argus系统组成的基础上,详细介绍了该系统在我国海滩研究中的应用情况,分析了应用中所涉及的数据精度问题。期望能进一步推动该系统在我国海岸工程建设评估、近岸水动力监测与地形反演、海滩旅游管理与河口沙嘴动力地貌变化研究等方面的应用和发展,最终为我国海滩资源的综合管理、合理开发利用和保护提供强有力的技术支撑。
参考文献
Study progress of sandy coastal erosion
[J].
砂质海岸侵蚀研究进展
[J].
Nearshore real-time in situ video monitoring technique—The ARGUS system
[J].
海岸带实时实地视频观测ARGUS技术
[J].
An introduction to nearshore video image observation
[J].
近海视频测量与应用
[J].
Nearshore Bathymetry Derived from Video Imagery
[M].
Video estimation of foreshore topography using trinocular stereo
[J].
Quantification of sand bar morphology: A video technique based on wave dissipation
[J].
Preliminary Application of Argus in the Topography Evolution of Dongsha Beach
[D].
Argus在东沙海滩地形地貌演变中的初步应用
[D].
Beach Response to Continuous Storms Using Argus Monitoring Data: A Case Study of Dongsha Beach in Zhoushan
[D].
基于Argus监测数据的海滩对连续风暴的响应——以舟山东沙海滩为例
[D].
Quantifying the rapid erosion of a nourishment project with video imagery
[J].
Coupling video imaging and numerical modelling for the study of inlet morphodynamics
[J].
Improving accuracy and statistical reliability of shoreline position and change rate estimates
[J].
Storm response and beach rotation on a gravel beach, Slapton Sands, UK
[J].
Optimal index related to the shoreline dynamics during a storm: The case of Jesolo beach
[J].
Morphodynamic response of nearshore bars to a shoreface nourishment
[J].
Beach nourishments at Coolangatta Bay over the period 1987-2005: Impacts and lessons
[J].
Nearshore evolution at Noordwijk (NL) in response to nourishments, as inferred from Argus video imagery
[C]Crossing Borders in Coastal Research, Jubilee Conference Proceedings, 20th NCK-days
Wave run-up observation and 2DV numerical investigation on beaches protected by structures
[C]
Storm-induced readjustment of an embayed beach after modification by protection works
[J].
Estimation of wave phase speed and nearshore bathymetry from video imagery
[J].
Remote Measurements of Waves and Currents Over Complex Bathymetry
[D].
Response of high-energy, macrotidal beaches to seasonal changes in wave conditions: Examples from North Cornwall, UK
[J].
Video-based nearshore bathymetry estimation in macro-tidal environments
[J].
Daily to Yearly Nearshore Bar Behaviour
[D].
Dynamics of a nearshore bar system in the northern Adriatic: A video-based morphological classification
[J].
Response of wave-dominated and mixed-energy barriers to storms
[J].
Temporal observations of rip current circulation on a macro-tidal beach
[J].
Argus Observations of Rip Current Variability Along a Macro-tidal Beach
[D].
Controls on macrotidal rip current circulation and hazard
[J].
Dynamics of rip currents associated with groynes—Field measurements, modelling and implications for beach safety
[J].
Technical Development and Methodologies Based on Video Systems for the Management of the Coast
[D].
Beach recreation planning using video-derived coastal state indicators
[J].
Long-term quantification of beach users using video monitoring
[J].
Automatic assessment and analysis of beach attendance using video images at the lido of Sète Beach, France
[J].
Coastline sand waves on a low-energy beach at “EI Puntal” spit, Spain
[J].
Long-term monitoring on the sand spit morphodynamics at the Tenryu River Mouth
[C]
/
| 〈 |
|
〉 |


甘公网安备62010202000687