Argus系统在我国海滩研究中的应用进展与展望 |
| 时连强, 郭俊丽, 刘海江, 叶清华 |
|
Application Progress and Prospect of Argus System in Beach Research in China |
| Lianqiang Shi, Junli Guo, Haijiang Liu, Qinghua Ye |
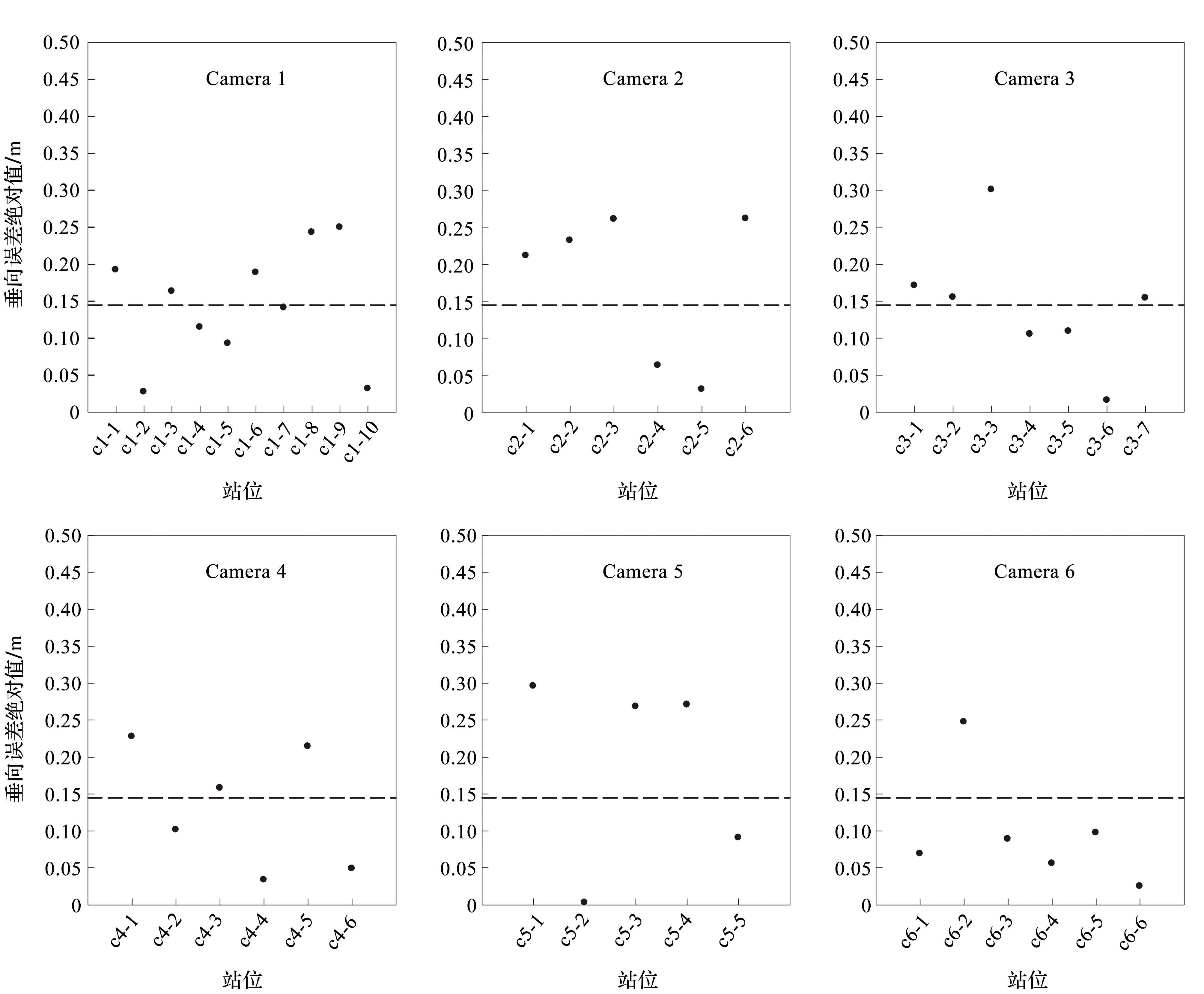
| 图9 各摄像头垂向误差验证 |
| Fig.9 Verification of vertical errors of each camera |
|