作者简介:杨宏宇(1992-),女,山西太谷人,硕士研究生,主要从事环境工程研究.E-mail:yanghongyu15@mails.ucas.ac.cn
全球标准曲线法(gSGC)的提出为高效快速地测定释光样品的等效剂量( De)值提供了可能。但是由于各个实验室的放射源剂量率、操作流程、仪器误差以及选取的再归一化剂量值等不同,每个实验室得出的gSGC会有参数的不同。通过建立实验室的gSGC曲线和测试流程,并比较gSGC法和SAR法获取的 De值的一致性,发现在低剂量范围内(0~100 Gy),使用gSGC法估计的 De和SAR法估计的 De非常接近,表明在低剂量范围内用gSGC法估计 De是可靠的。这将很大程度地提高本实验室的释光测年速度,同时也为其他实验室gSGC的建立提供借鉴。在较高剂量范围(>100 Gy)与SAR方法结果比对时出现较大差别,这可能是由于研究中用于拟合gSGC的样品数量不够多,尤其是年龄较老的样品还不够多,还需在今后工作中逐步积累更多样品,完善gSGC参数,使其也能胜任较老年龄样品。
First author:Yang Hongyu(1992-),female,Taigu County,Shanxi Province,Master student. Research areas include environmental engineering.E-mail:yanghongyu15@mails.ucas.ac.cn
Optical dating is a method of measuring the time since the sample was buried from last thermal event or light exposure. Samples such as quartz and feldspar grains are the most commonly used sediment of measurement. Single-Aliquot Regenerative-dose (SAR) method has become the most acceptable procedure for obtaining the equivalent Dose ( De) of a sample. The Standardised Growth Curve (SGC) method provides a possible procedure for measuring a large number of samples; the limitation is that the growth curve fitted by different samples or even different aliquots is divergent. The global Standardised Growth Curve (gSGC) method improves the shortage by normalizing the dose response curves using one regenerative dose OSL signal. The gSGC provides a possible method for obtaining the De value of the sample efficiently and quickly. However, due to the radiation dose rate, operating procedures and instrument error and the selected regenerative-dose normalized dose value, etc., each laboratory should develop their own gSGC which has unique parameters. This study established the gSGC curve and measurement process of our laboratory, and then compared the consistency of the equivalent Dose ( De) values from gSGC and SAR methods. In gSGC procedure, the De value of an aliquot can be estimated from the nature signal, one regenerative dose signal and their corresponding test dose signal. It will speed up the optical dating measurement rate of our laboratory and provide reference to establish gSGC in other laboratories. It is found that in the low dose range (0~100 Gy) the obtained De values were well consistent by gSGC and SAR methods. There were obviously differences in the higher dose range (>100 Gy) compared to the SAR results. It may be due to the insufficient number of older samples used to fit gSGC in this study. It is necessary to gradually accumulate more samples to improve the gSGC parameters in the future work. For some aliquots, individual quartz grains do not follow the global standardised growth curve, which leads to some deviations of De from gSGC. However, these two methods could obtain the similar average De value when multiple aliquots measuring.
释光年代学测量的是沉积物中的矿物特别是石英和长石颗粒[1]上一次热事件或曝光后, 样品埋藏至今的时间[2]。其中沉积物埋藏过程中所累积的辐射剂量因光的激发而被释放的信号被称为光释光(Optically Stimulated Luminescence, OSL)[3]。
所测样品的年龄(Age, 单位为 ka)可由样品埋藏过程中接受的辐射剂量, 即等效剂量(Equivalent dose, De, 单位:Gy)除以单位时间接受的辐射剂量, 即剂量率(Dose Rate, 单位:Gy/ka)表示[3]:
埋藏年龄(ka)=
Duller[4]于1991年首次提出单片再生剂量法(Single Aliquot Regenerative protocol, SAR), 经Murray等[5]改进后成为现今较最成熟的测量样品De的一种方法。它已经代替多片法成为现今被广泛使用的方法, 此方法需要的样品量小, 无需校正不同单片的权重, 优势十分明显; 相比于多片法, SAR法的测样速度虽有提高, 但测大量样片依旧要在实验室花费很多时间。
Roberts等[6]第一次在SAR法基础上提出了标准曲线(Standardised Growth Curve, SGC)法, SGC法的原理是认为所有石英样品应该有共同的剂量响应增长曲线, 因此只要建立一条标准曲线, 理论上就不需要针对每个样片再测量增长曲线。SGC法可以节约大量仪器测试时间, 为实验室测量大量样品提供了可能。但是SGC法在应用中发现其存在一定的局限性, 主要表现在较大剂量时, 不同样品甚至不同样片拟合出来的增长曲线离散度较大, 根据多样品或者多样片拟合出的一条增长曲线在采用SGC法求De时会存在较大的误差[7]。
Li等[8]于2015年发现这是由于实验测量中所有样品信号未能统一归一化造成的, 由此, 提出了全球标准曲线(global Standardised Growth Curve, gSGC)法, 有效地改进了此弊端, 为高效快速地得到样品的De值提供了可靠方法。
目前, 国内关于gSGC方法的介绍与应用相对较少, 且由于各个实验室的仪器误差和测量流程不同, 得到的gSGC增长曲线会出现参数的不同, 因此各个实验室需要建立自己的gSGC增长曲线。本研究将建立中国科学院沙漠与沙漠化重点实验室释光测年实验室的gSGC曲线和测试流程, 并通过比较gSGC法和SAR法获取的De值来判断gSGC法的可靠性, 为下一步提高gSGC精确度及其广泛应用奠定基础。本次研究的意义在于, gSGC法将极大提高本实验室的测样速度, 同时也为其他实验室gSGC增长曲线的建立提供借鉴。
本次研究中的样品取自中国科学院沙漠与沙漠化重点实验室释光测年实验室曾经测量过的不同区域不同环境的沉积物样品的石英组分, 所有样品都是晒退良好的风沉积物, 共11组。其中样品2015-76和2015-79是取自玛多黄河源区的沙丘沉积物; 2016-35, I2015-69和I2015-70是在巴丹吉林沙漠采集的沉积物; slk-256-260和slk-270-274[9]是取自乌兰布和沙漠的风尘沉积物; I2016-75是在巴丹吉林沙漠采集的沙丘沉积物; L2012-27-AGE-1和L2011-21-AGE-1[10]是取自乌兰布和沙漠的沉积物; 2013-13-q age 1是取自青藏高原湖岸阶地的砂砾石沉积物。
在释光测年中, 一个特定的样品测片或颗粒受光激发而释放的信号Lj可以用单饱和指数函数表示:
式中:D为实验室辐射剂量; Sj(i, D)为关于i和D的函数, 其中i指SAR测量流程中的循环次数; N0指饱和电荷数; D0是特征饱和剂量。
同理, 这个测片或颗粒的实验剂量释光信号Tj可以表示为:
式中:常数k描述的是从测量自然剂量或再生剂量信号到测量相对应的实验剂量信号所产生的释光灵敏度的变化, Dt是实验剂量[8]。
不同测片之间以及同一测片的自然释光信号和各再生释光信号之间存在释光信号敏感度变化, 为了校正测量过程中的这种敏感度变化, 采用了灵敏度校正后的释光信号, 即:
一般来说Dt≪D0, 所以简化公式(3)后得到:
对于年轻的样品:D≪D0, 所以由公式(4)得:
由公式(5)可得, 在低剂量范围内(即对于年轻样品来说), 导致不同测片或颗粒剂量响应曲线形状不同的因子是k值, 而在高剂量范围内, 根据公式(4)可知k和D0均会影响剂量响应曲线的形状。
对于单颗粒石英来说, D0对剂量响应曲线形状的影响甚至在低剂量区都非常大[11, 12], 但一个测片包含大量颗粒, 大量颗粒的平均作用会减小D0值的变化, 也就减弱了对剂量响应曲线形状的影响[8]。
由此Li 等[8]于2015年提出“ 再生剂量归一化” 方法, 即每个测片每个灵敏度校正后的信号Lx/Tx均对一个固定的信号Lr1/Tr1进行归一化:
假设k值与自然剂量和再生剂量无关, 即对于同一个测片来说, kx=kr, 则简化公式(6)得:
根据公式(7)可知, “ 再生剂量归一化” 可以去掉k值对剂量响应曲线的形状的影响。而gSGC正是利用了这一原理。为了避免不同测片的不同实验剂量Dt对剂量响应曲线形状的影响, 可以先用Dt对灵敏度校正后的释光信号Lj/Tj进行校正, 即(Lj/Tj)·
本次研究的实验过程如图1所示, 即:
(1) 选出本实验室用SAR法测过的且测量过再生剂量为80 Gy的光释光信号的纯石英样品数据。
(2) 新数据的获取, 使用在避光、密封的条件下采集的样品进行前处理, 选出其中的粗颗粒矿物, 用重液将石英和长石分选出来, 再用氢氟酸将杂质和矿物颗粒外层去除。
(3) 对前处理好的石英样品进行SAR法测片, 测片所用的仪器是装有90Sr/ 90Yβ 源的产于丹麦的RisØ DA-15 OSL/TL reader, 其β 辐照剂量率为0.082 Gy/sec。需要注意的是, 每个测片均要测量80 Gy再生剂量处的信号。本文目前只研究石英的SAR和gSGC法。
(4) 将所有80 Gy处有信号的纯石英样品数据先用各自的Dt对灵敏度校正后的释光信号Lj/Tj进行校正, 然后再对80 Gy再生剂量处的信号进行同公式(5)一样的“ 再归一化” 处理, 最后建立全球标准曲线gSGC。
(5) 应用gSGC法求样品De值并通过对gSGC法和SAR法的比较分析其可靠性。
在SAR法中, 需要测量样品的一个自然剂量信号Ln以及对应的实验剂量信号Tn, 3个以上的再生剂量信号Lri以及其分别对应的实验剂量信号Tri, 具体步骤见表1。其中, 实验剂量用来校正由辐射、预热和光激发等实验室操作引起的样品释光灵敏度变化。通过所有灵敏度校正后的再生剂量信号Lri/Tri建立1条剂量响应曲线(DRCs), 将灵敏度校正后的自然释光信号Ln/Tn投射在剂量响应曲线上即可得到此样品的等效剂量De。
| 表1 SAR测量流程 Table 1 Single-Aliquot Regenerative-dose(SAR) protocol |
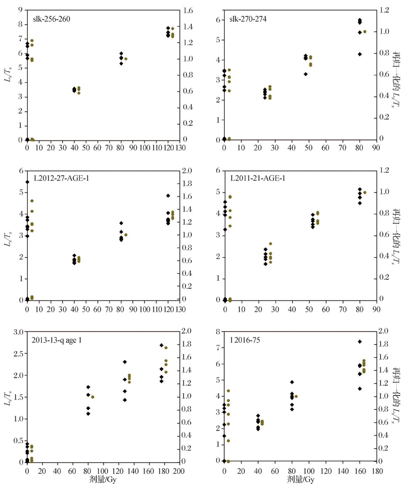
图2中的6个小图分别展示了6个样品的Lx/Tx信号和再归一化后的Lx/Tx信号对此图, 其中每个样品对应4~7个测片。横坐标表示每个测片对应的再生剂量, 通过仪器RisØ DA-15 OSL/TL reader的测量, 可得到每个测片自然剂量和各个再生剂量处的Lx/Tx信号, 即在图2中左边纵坐标所对应的菱形散点。而将每个测片各个剂量处的Lx/Tx信号对各自80 Gy处的Lx/Tx信号进行“ 再归一化” (见公式(7)), 得到“ 再归一化” 后的Lx/Tx信号, 即在图2中右边纵坐标所对应的浅色圆形散点。比如样品L2012-27-AGE-1其中一个测片在0, 40, 80和120 Gy处的Lx/Tx信号分别为0.026, 1.911, 2.872和3.753, 对80 Gy处的Lx/Tx信号再归一化后为:0.009053, 0.66539, 1, 1.306755, 发现再归一化后的Lx/Tx信号更加收敛。由图2可知, 每个样品80 Gy处的再归一化的Lx/Tx均为1, 低于80 Gy则小于1, 高于80 Gy大于1。无论Lx/Tx信号还是再归一化的Lx/Tx信号均呈指数增长, 但是再归一化之前的散点离散度较大, 再归一化后的散点更加收敛, 表明再归一化后多个样品共同拟合的生长曲线更加收敛, 趋于一致。其中再生剂量为0 Gy处的点(零点附近除外)的信号指的是样品的自然信号。
为了避免不同测片的实验剂量Dt对剂量响应曲线形状的影响, 先将11个样品共39个测片用各自的Dt对其灵敏度校正后的释光信号Lj/Tj进行校正, 即(Lj/Tj)· Dt, 然后再按照公式(7)进行归一化, 最后将所有数据进行整合, 就拟合出一条如图3所示的全球标准曲线(gSGC)。表2是根据图3中的散点拟合出的具体方程, 即y=1.09262[1-exp(-x/64.6292)]+0.00276x+0.01062, 其相关系数的平方为0.99133, 拟合度较好。
由上文可知, 本研究的gSGC是通过每个测片对各自80 Gy处的信号再归一化所得, 则:
式中:η 为再归一化因子, 对同一个测片来说:
根据公式(10)即可算出每个测片的De, 本研究的等式即为:
=
例如, 样品slk-270-274, 其第3个测片48 Gy(即Dr1=48)处的信号Lr1/Tr1=4.216± 0.048, 自然信号Ln/Tn=3.227± 0.039代入公式(10)可得出其gSGC De为33.22± 0.51, 而根据SAR法求出此测片的De为33.84± 0.50, 两者非常接近。由此初步证明了本研究建立的gSGC的可靠性。
Li等[8]建立的石英全球标准曲线采用单饱和指数函数, 结果为:y=0.787[1-exp(-x/73.9)]+0.001539x+0.01791, 通过分析gSGC De和SAR De的一致性发现在0~250 Gy范围内石英具有一条共同的生长曲线。Hu等[14]首次将gSGC法运用于冰川沉积物, 将祁连山东部采集的7个冰川沉积样品(每个样品含8~42个测片)各自进行再归一化处理, 并选取单饱和指数函数y=A× {1-exp[-(x+C)/B]}进行拟合, 得到7条特定样品的SGC曲线, 发现其SGC De和SAR De的差别很小, 验证了SGC法的可靠性。我们发现Hu等[14]拟合出的曲线其中一条为y=3.7639× {1-exp[-(x+2.1486)/164.377]}, Li等[8]的拟合结果为y=0.787[1-exp(-x/73.9)]+0.001539x+0.01791, 本研究为y=1.09262[1-exp(-x/64.6292)]+0.00276x+0.01062, 说明拟合出的曲线方程参数是有区别的。分析发现Li等[8]选取的再归一化剂量为172 Gy, Hu等[14]选取的再归一化剂量为48 Gy, 本研究为80 Gy, 通过对gSGC De和SAR De一致性的分析, 发现其建立的gSGC都是可靠的, 方程参数不同的主要原因是选取的再归一化剂量不同。
| 表2 拟合出的方程 Table 2 Fitted the equations |
gSGC法通过对所有样品进行归一化, 从而建立了本实验室的一条gSGC增长曲线。gSGC法只需测出样品的自然剂量信号Ln和对应的实验剂量信号Tn以及一个再生剂量信号Lri和对应的实验剂量信号Tri就可以得出此样品的等效剂量De值, 极大缩短了测样时间。关于De的获取, 可以用公式(10)求得, 我们将本研究中的11个样品共39个测片应用公式(10)分别计算出各自的De, 然后与其对应的SAR De进行比较, 发现其gSGC De都比较接近SAR De, 如图4中发现散点大都围绕在y=x附近。从图4中还可发现, 在低剂量范围内, 即0~100 Gy内除点(73.52, 52.24)和(74.27, 96.08)差别较大外, 其他测片使用gSGC法估计的De和SAR法估计的De非常接近。由图4可知, 在较高剂量范围, 如大于100 Gy时gSGC法估计的De与SAR法估计的De会出现较大差别, 初步分析发现这是由于本研究用于拟合gSGC的样品数量不够多, gSGC增长曲线参数在高剂量区不够精确, 导致高剂量区的gSGC增长曲线出现较大误差。
从图4可以看出, 在0~100 Gy的低剂量范围内, 大部分测片的gSGC De和SAR De在误差范围内非常一致, 只有点(73.52, 52.24)和(74.27, 96.08)的误差较大。发现误差大的这2个测片对应的是样品L2011-21-AGE-1其中的2个测片, L2011-21-AGE-1共含5个测片, 而观察这2个测片的SAR增长曲线, 排除了增长曲线拟合度差导致这2个测片的gSGC De偏差较大的原因。在计算gSGC De值时, 这2个测片随机选择了Dr=24 Gy处的信号/=2.370和/=1.693 , 在图3中对应的点为(24, 0.525)和(24, 0.354), 是样品L2011-21-AGE-1在gSGC曲线剂量=24 Gy处最上方和最下方的2个散点, 初步推测由于偏离曲线, 所以其用本研究建立的gSGC的拟合方程y=1.09262[1-exp(-x/64.6292)]+0.00276x+0.01062计算出的gSGC De出现较大的偏差。进一步分析, 对样品L2011-21-AGE-1加测了5个SAR测片来分析其生长曲线特征(图5), 图5中曲线F1和F2分别是上述图4中误差较大的2个测片。从图5中可以看出, 其他8个测片的SAR增长曲线更加接近gSGC, 也就是满足所有石英应该有相同的增长曲线的假设。但是曲线F1明显偏离其他石英的增长曲线, 表明偶尔有石英颗粒并不满足所有石英有相同增长曲线的假设。而F2又恰好是在0~60 Gy范围内最低的一条曲线, 当剂量=24 Gy时, F1和F2差别最大, 所以当用剂量为24 Gy处的信号分别求其gSGC的De时偏离了SAR法的De, 为了减小由于个别石英增长曲线偏离gSGC带来的误差, 我们对一个样品测量多个测片的gSGC De并求其平均值来确定此样品最终的gSGC De, 这样得到的De不仅节约了测量时间, 而且不降低测年的可靠性。例如, 对于L2011-21-AGE-1的10个测片的gSGC和SAR法De分别求取平均值, 所得De分别为68.14± 5.32和67.76± 3.66, 几乎一致。在大于100 Gy的高剂量范围内, 由图4可知, 散点偏离y=x, 用gSGC法求出的De误差较大, 一方面, 本研究用于拟合gSGC的样品数量较少, 导致在较高剂量区域时gSGC曲线参数可能不能准确反映其真实的变化情况; 另一方面, 根据拟合的方程:y=1.09262[1-exp(-x/64.6292)]+0.00276x+0.01062, 可知其对应的饱和剂量为D0=2× 64.6292=129.2584 Gy, 100 Gy已经靠近饱和区, 这一区域, gSGC参数有微小误差也会导致结果出现较大偏差。
综上所述, 本实验室通过11组石英样品建立了自己的石英颗粒gSGC标准曲线, 方程为y=1.09262[1-exp(-x/64.6292)]+0.00276x+0.01062, 拟合度良好。此11组样品法gSGC的De值与SAR法相比在0~100 Gy的低剂量范围几乎一致。在大于100Gy的较高剂量范围偏差较大, 这是由于本研究用于拟合gSGC由线的样品数量较少, 无法准确反映gSGC由线在较高剂量区域内的真实情况, 导致较高剂量区域的gSGC曲线出现较大偏差, 因此需在今后的工作中逐步积累更多样品, 完善gSGC参数, 使其也能胜任较老年龄样品。另外, 发现个别石英测片(也可能由于个别石英颗粒中包裹有无法去除的长石颗粒导致)不遵从全球标准曲线增长规律。gSGC法与SAR法获取的De偏差较大, 但是在与SAR法类似的大量测片条件下, 两者De的平均值几乎一致。
The authors have declared that no competing interests exist.
| [1] |
|
| [2] |
|
| [3] |
|
| [4] |
|
| [5] |
|
| [6] |
|
| [7] |
|
| [8] |
|
| [9] |
|
| [10] |
|
| [11] |
|
| [12] |
|
| [13] |
|
| [14] |
|

