基于1.4 μm红外光谱测量磷灰石结构水的定量方法探讨
陈林
1,
2
, 唐红
1*,
*
, 李雄耀
1
, 欧阳自远
1
, 王世杰
3
The Quantitative IR Spectroscopic Determination of OH in Apatite Based on 1.4 μm
Chen Lin
1,
2
, Tang Hong
1
, Li Xiongyao
1
, Ouyang Ziyuan
1
, Wang Shijie
3
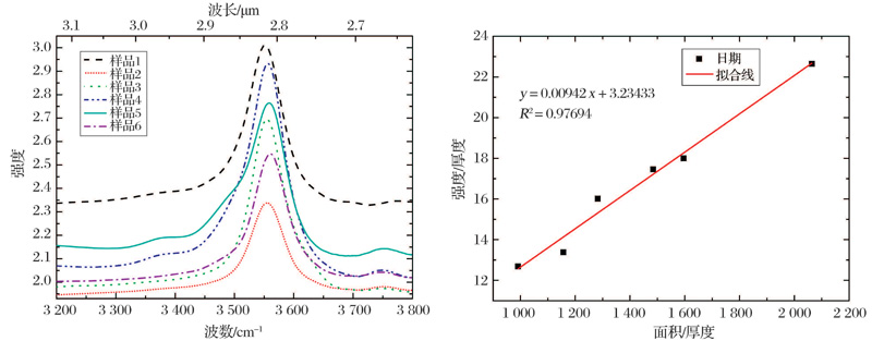
磷灰石2.8 μm红外光谱图