地球科学进展 ›› 2025, Vol. 40 ›› Issue (10): 1051 -1067. doi: 10.11867/j.issn.1001-8166.2025.079

基金项目管理与成果介绍 上一篇    下一篇

2025年度环境地球科学学科国家自然科学基金项目评审与结题成果分析
刘羽(), 蒲晓, 王东坡, 于福荣, 吕宏虹, 苗原, 詹明秀, 尚博   
  1. 国家自然科学基金委员会地球科学部,北京 100085
  • 收稿日期:2025-09-03 修回日期:2025-09-30 出版日期:2025-10-10
  • 基金资助:
    国家自然科学基金委员会(简称自然科学基金委)地球科学部环境地球科学学科一级申请代码为D07,包括17个二级申请代码1-4

An Introduction to Project Management by Division of Environmental Geosciences, Department of Earth Sciences, National Natural Science Foundation of China in 2025

Yu LIU(), Xiao PU, Dongpo WANG, Furong YU, Honghong LÜ, Yuan MIAO, Mingxiu ZHAN, Bo SHANG   

  1. Department of Earth Sciences, National Natural Science Foundation of China, Beijing 100085, China
  • Received:2025-09-03 Revised:2025-09-30 Online:2025-10-10 Published:2025-10-27
  • About author:LIU Yu, in charge of administration of natural science fund in environmental geosciences. E-mail: liuyu@nsfc.gov.cn

统计分析了国家自然科学基金委员会地球科学部环境地球科学学科2025年各类项目的申请、受理、评议和资助情况,总结并介绍了2024年环境地球科学学科主要学科方向部分结题项目取得的科学研究进展,为后续研究提供参考和启示,对下一年度项目申请具有重要的借鉴意义。

Statistical analysis was conducted on submission, acceptance, review and grant funding of various projects managed by Division of Environmental Geosciences, Department of Earth Sciences, National Natural Science Foundation of China in 2025. Academic achievements of the completed projects in 2024 were partly summarized according to research subjects. This might provide enlightenment for potential project applicants.

中图分类号: 

图1 2025年度D07学科的面上/C/地区项目申请量
Fig. 1 Statistics on submission of the “General-Young ScientistsC-Regional” projects in D072025
图2 2025年度D07学科面上/C/地区项目研究属性分布
Fig. 2 Distribution of research attributes for the “General-Young ScientistsC-Regional” projects in D072025
表1 2025年度D07学科面上/C/地区项目申请量前10名依托单位
Table 1 The top 10 host institutions applying for the “General-Young ScientistsC-Regional” projects in D072025
图3 2025年度D07学科面上/C/地区项目申请人年龄总体分布图
Fig. 3 The age distribution of applicants applying for the “General-Young ScientistsC-Regional” projects in D072025
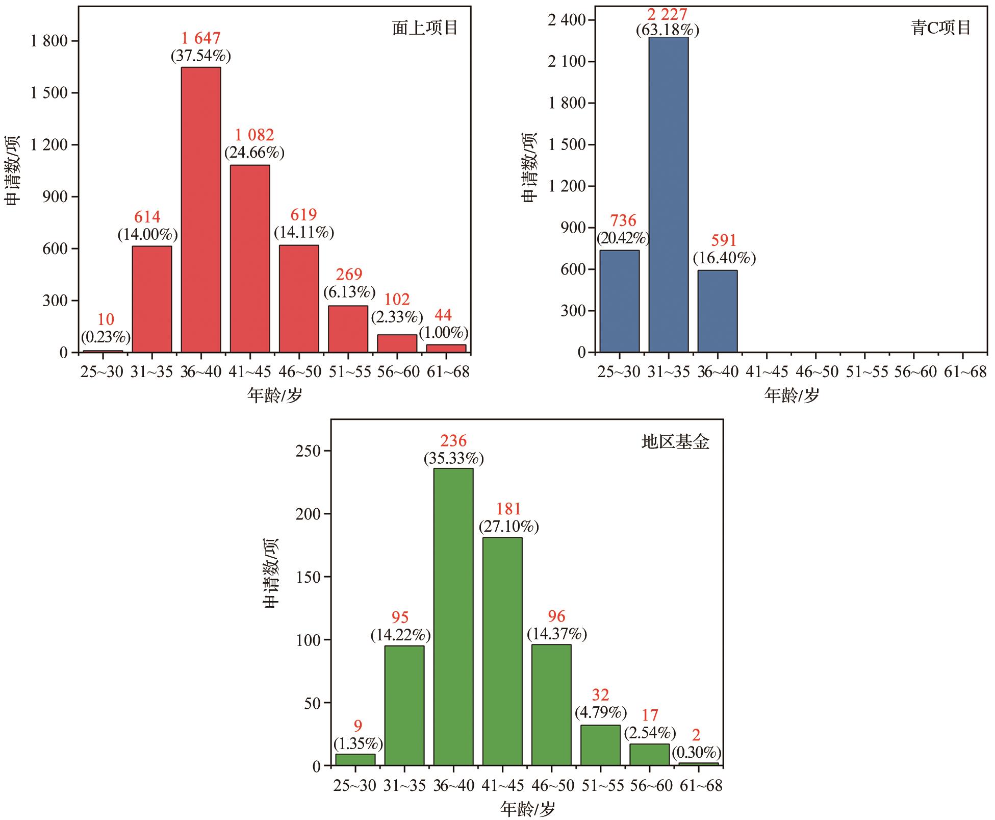
图4 2025年度D07学科面上/C/地区项目申请人年龄统计
Fig. 4 The age distribution of applicants applying for the “General-Young ScientistsC-Regional” projects in D072025
图5 2025年度D07学科面上/C/地区项目申请项目二级申请代码总体分布
Fig. 5 Overall distribution of second-level application code of the “General-Young ScientistsC-Regional” projects in D072025
图6 2025年度D07学科面上/C/地区项目申请项目二级申请代码分类别分布
Fig. 6 Statistics on applications for each second-level application code of the “General-Young ScientistsC-Regional” projects in D072025
图7 2025年度选取D07为申报代码1的重点项目申报领域分布情况
Fig. 7 Application distribution of Key Programs selecting D07 as application code 1 in 2025
表2 2025年度“人类活动与环境”领域重点项目申请依托单位概况
Table 2 The overview of the host institutions applying for the key programs in the research field of “human activities and environments” in 2025
图8 2025年度申请“人类活动与环境”领域重点项目的一级学科分布情况
Fig. 8 The distribution of the selected first-level application code in applications for the key programs in the research field of “human activities and environments” in 2025
图9 2025年度“人类活动与环境”领域重点项目申报D07二级申请代码分布
Fig. 9 The distribution of the selected second-level application code in applications with the first-level application code of D07 for the Key Programs in the research field of “human activities and environments” in 2025
图10 2025年度D07学科常规青A项目申报依托单位分布情况
Fig. 10 The distribution of host institutions applying for the Young Scientists FundAin D072025
表3 2025年度D07学科常规青A项目依托单位申报数量排名
Table 3 Statistics on applications from the host institutions for the Young Scientists FundAin D072025
图11 2025年度D07学科青A项目申请人年龄分布
Fig. 11 The age distribution of applicants for the Young Scientists FundAin D072025
图12 2025年度D07学科青A项目申报二级申请代码分布情况
Fig. 12 The distribution of the selected second-level application code in applications for the Young Scientists FundAin D072025
表4 2025年度D07学科青B项目依托单位分布情况
Table 4 The patterns of host institutions applying for the Young Scientists FundBin D072025
表5 2025年度D07学科申报青B项目依托单位排名(申报量≥4项)
Table 5 Application ranking of host institutions with4 applications for the Young Scientists FundBin D072025
图13 2025年度D07学科青B项目申请人年龄分布
Fig. 13 The age distribution of applicants for the Young Scientists FundBin D072025
图14 2025D07学科青B项目申请人性别分布
Fig. 14 The gender distribution of applicants for the Young Scientists FundBin D072025
图15 2025年度D07学科青B项目申报二级申请代码分布
Fig. 15 The application distribution in each individual second-level application code for the Young Scientists FundBin D072025
图16 2025年度D07学科面上/C/地区项目各二级申请代码的上会率
Fig. 16 The conference review rates of the “General-Young ScientistsC-Regional” projects in each second-level application code in D072025
表6 2025年度D07学科面上/C/地区项目资助计划
Table 6 The funding plans for the “General-Young ScientistsC-Regional” projects in D072025
图17 2025年度D07学科面上/C/地区项目各二级申请代码的资助率
Fig. 17 The funding rates of the “General-Young ScientistsC-Regional” projects in each second-level application code in D072025
表7 2025年度D07学科面上/C/地区项目优势单位申报、上会和资助数量 (项)
Table 7 The applicationconference review and grant number of advantageous institutions for the “General-Young ScientistsC-Regional” projects in D072025
[1] LIU Yu, WU Zhijun, PU Xiao, et al. Introduction to the projects managed by the Division of Environmental Geosciences, Department of Earth Sciences, National Natural Science Foundation of China in 2024 [J]. Advances in Earth Science202439(10): 1 060-1 073.
刘羽, 吴志军, 蒲晓, 等. 2024年度环境地球科学学科项目评审与结题成果分析[J]. 地球科学进展202439(10): 1 060-1 073.
[2] LIU Yu, SUN Jianqiang, WU Zhijun, et al. Introduction to the projects managed by the Division of Environmental Geosciences, Department of Earth Sciences, National Natural Science Foundation of China in 2023 [J]. Advances in Earth Science202338(10): 1 055-1 068.
刘羽, 孙建强, 吴志军, 等. 2023年度环境地球科学学科项目评审与结题成果分析[J]. 地球科学进展202338(10): 1 055-1 068.
[3] LIU Yu, ZHANG Fengshou, SUN Jianqiang, et al. An introduction to the projects managed by the Division of Environmental Geosciences, Department of Earth Sciences, National Natural Science Foundation of China in 2022 [J]. Advances in Earth Science202237(12): 1 286-1 298.
刘羽, 张丰收, 孙建强, 等. 2022年度环境地球科学学科项目评审与结题成果分析[J]. 地球科学进展202237(12): 1 286-1 298.
[4] LIU Yu. Research on the strategy of optimizing the discipline layout of environmental geosciences under the National Natural Science Foundation of China [J]. Chinese Science Bulletin202065(20): 2 076-2 084.
刘羽. 国家自然科学基金环境地球科学学科布局优化战略研究[J]. 科学通报202065(20): 2 076-2 084.
[1] 郑袁明, 王盟, 王洋, 黄元耕, 赵晓燕, 王力, 李健, 金超. 2025年度地质学学科国家自然科学基金项目评审与成果分析[J]. 地球科学进展, 2025, 40(10): 1024-1031.
[2] 高阳, 熊巨华, 李瑶, 曹越前, 李继峰, 吴鹏海, 田深圳, 尹铎, 吴祥文, 刘秀英. 2025年度地理科学学科国家自然科学基金项目评审与资助成果分析[J]. 地球科学进展, 2025, 40(10): 1013-1023.
[3] 刘羽, 吴志军, 蒲晓, 闵祥宇, 盛安旭, 李紫燕, 蔡延江, 余震, 张建军. 2024年度环境地球科学学科项目评审与结题成果分析[J]. 地球科学进展, 2024, 39(10): 1060-1073.
[4] 郑袁明, 黄元耕, 王洋, 曾罡, 郎咸国, 梁昌玉, 宋泽章, 任建国. 2024年度地质学学科基金项目评审与成果分析[J]. 地球科学进展, 2024, 39(10): 1032-1039.
[5] 高阳, 熊巨华, 张中浩, 刘鉴, 耿晶, 张达, 高琳琳, 王丰龙, 谢海超, 李文德. 2024年度地理科学学科项目评审与资助成果分析[J]. 地球科学进展, 2024, 39(10): 1021-1031.
[6] 任建国, 王洋, 吕大炜, 柴鹏, 李妲, 李志清, 肖笛. 2023年度地质学学科基金项目评审与成果分析[J]. 地球科学进展, 2023, 38(10): 1025-1032.
[7] 刘羽, 孙建强, 吴志军, 张伟, 张亚南, 陈涛, 李紫燕, 曹文庚, 王鹏, 闵祥宇. 2023年度环境地球科学学科项目评审与结题成果分析[J]. 地球科学进展, 2023, 38(10): 1055-1068.
[8] 高阳, 熊巨华, 张中浩, 蔡顺, 张琍, 安雨, 白开旭, 李汝资, 杨艳丽, 杨振. 2023年度地理科学学科国家自然科学基金项目评审与成果分析[J]. 地球科学进展, 2023, 38(10): 1015-1024.
[9] 刘羽, 张丰收, 孙建强, 朱治强, 汪玉, 杨仲康, 张莘, 郭芷琳, 张博, 陈涛. 2022年度环境地球科学学科项目评审与结题成果分析[J]. 地球科学进展, 2022, 37(12): 1286-1298.
[10] 熊巨华, 高阳, 吴浩, 李鑫, 梁丹, 于文凭, 马美红, 周永强, 王晓锋. 2022年度地理科学基金项目评审与结题成果分析[J]. 地球科学进展, 2022, 37(12): 1245-1255.
[11] 刘羽, 孙建强, 张丰收, 唐量, 董紫君, 朱治强, 王敬富, 时鹏, 李尤. 2021年度环境地球科学学科项目评审与结题成果分析[J]. 地球科学进展, 2021, 36(11): 1180-1192.
[12] 刘羽,王军,李慧,徐奴文,冯娟,董紫君,李紫燕,吉莉,郭晓明. 2020年度环境地球科学学科项目评审与成果分析[J]. 地球科学进展, 2020, 35(11): 1171-1188.
[13] 刘羽,王军,李慧,徐奴文,张士秀,周志祥,王书兵,蒲生彦,吴国灿,董紫君. 2019年度环境地球科学学科项目评审与成果分析[J]. 地球科学进展, 2019, 34(11): 1189-1201.
[14] 刘羽, 张倩茹, 王军, 刘小莽, 刘进峰, 朱鸿鹄, 周志祥, 蒲生彦, 魏孝荣. 2018年度环境地球科学领域项目评审与资助成果*[J]. 地球科学进展, 2018, 33(12): 1297-1304.
[15] 罗云峰;周小刚. 2005年度大气科学项目管理与主要研究成果暨“十一五”发展战略和优先领域的制订[J]. 地球科学进展, 2005, 20(12): 1366-1370.
阅读次数
全文


摘要