地球科学进展 ›› 2025, Vol. 40 ›› Issue (6): 647 -660. doi: 10.11867/j.issn.1001-8166.2025.044

研究论文 上一篇    

蓝藻对纳米矿物中稀土元素的分馏作用
刘焱(), 周跃飞(), 杜蒙蒙, 徐子涛, 谢巧勤, 李全忠, 陈天虎   
  1. 合肥工业大学 资源与环境工程学院,纳米矿物与污染控制安徽普通高校重点实验室,安徽 合肥 230009
  • 收稿日期:2025-04-02 修回日期:2025-05-22 出版日期:2025-06-10
  • 通讯作者: 周跃飞

Rare Earth Fractionation from Nanominerals by Cyanobacteria

Yan LIU(), Yuefei ZHOU(), Mengmeng DU, Zitao XU, Qiaoqin XIE, Quanzhong LI, Tianhu CHEN   

  1. Key Laboratory of Nanominerals and Pollution Control of Anhui Higher Education Institutes, School of Resources and Environmental Engineering, Hefei University of Technology, Hefei 230009, China
  • Received:2025-04-02 Revised:2025-05-22 Online:2025-06-10 Published:2025-08-04
  • Contact: Yuefei ZHOU
  • Supported by:
    the National Natural Science Foundation of China(42472062)

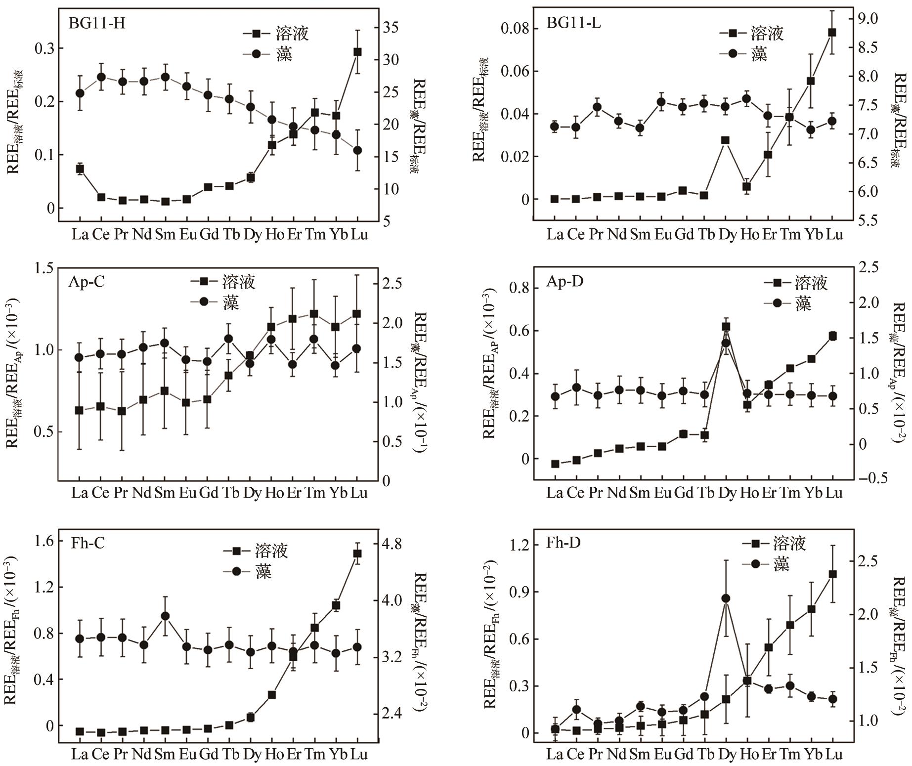
表生环境中广泛存在纳米铁(氢)氧化物和磷酸盐矿物,这些物质相对磷(P)和稀土元素具有显著的固定作用。以含磷和稀土元素的水铁矿和磷灰石为磷源,采用透析方法(阻隔细胞与矿物),探究弱碱性和高CO 3 2 -浓度条件下蓝藻(铜绿微囊藻,Microcystis aeruginosa)对纳米矿物结合态磷的利用及其对稀土元素的分馏作用。结果表明铜绿微囊藻可以较低的效率利用纳米矿物结合态磷,而溶解态和纳米颗粒结合态稀土元素均对铜绿微囊藻产生一定程度的毒害作用。稀土元素实验中,经过17 d的培养后,所有实验溶液均富重稀土;对于藻细胞及胞外多聚物,除高浓度溶解态稀土元素实验(富轻稀土)和水铁矿+透析实验(富重稀土)中出现稀土元素分馏外,其余实验中稀土元素均无分馏;丝状胞外多聚物富中稀土,尤其富含钐(Sm)、铕(Eu)和钆(Gd),而次生钙磷酸盐和铁(氢)氧化物则富集中—重稀土。研究认为,弱碱性条件下菌体及胞外多聚物对REE3+的选择性吸附导致溶液中总是富重稀土;溶液中稀土元素与阴离子(尤其是CO 3 2 -)比值大时菌体和胞外多聚物中富轻稀土;稀土元素来源于矿物时,菌体及胞外多聚物中稀土元素分馏不明显;胞外多聚物选择性络合矿物中的稀土元素可能导致菌体及胞外多聚物中富重稀土;胞外多聚物及次生物相选择性富集中—重稀土可能具有潜在的环境指示意义。

Nanosized iron (hydr)oxides and phosphate minerals are widely distributed in supergene environments and exhibit significant sequestration effects for phosphorus (P) and Rare Earth Element (REE). Although previous studies have found that both forms of P can be utilized by microorganisms, the mechanism by which microbial activity constrains the geochemical behavior of mineral-bound REEs during P utilization has received little attention. This study investigated the utilization of Nano-mineral bound P by Microcystis aeruginosa and the associated REEs fractionation under weakly alkaline and high CO 3 2 - conditions, using ferrihydrite (Fh) and apatite (Ap) loaded with P and REEs as P sources through dialysis methods (isolating cells from minerals). The results demonstrated that M. aeruginosa utilized nano-mineral-bound P with low efficiency, while both dissolved and nano-mineral-bound REEs exhibited moderate toxicity to the cyanobacterium. In the REE experiments, all the solutions were enriched in Heavy REEs (HREEs) after 17 d of cultivation. For algal cells and Extracellular Polymeric Substances (EPS), REE fractionation was observed only in experiments with high dissolved REE concentrations (enriched in LREEs and LREEs) and ferrihydrite + dialysis (enriched in HREEs). Filamentous EPS preferentially accumulated middle REEs (MREEs, particularly Sm, Eu, and Gd), whereas secondary calcium phosphates and iron (hydr)oxides sequestered MREEs-HREEs. It is considered that: ① Selective adsorption of REE3+ under weak alkaline conditions by Cells and EPS (C&E) consistently enriches HREEs in solutions; ② Cells and EPS enrichment in LREEs occurs when the REE/anion (especially CO 3 2 -) ratio in solution is elevated; ③ No REE fractionation in cells and EPS when REEs originate from mineral phases; ④ EPS-mediated selective REE complexation from minerals may drive HREE enrichment in cells and EPS; ⑤ Preferential accumulation of MREEs-HREEs in EPS and secondary solid phases may underlie the positive anomalies of these elements in eutrophic waters. Thus, anomalies in MREEs (e.g., Eu) may serve as effective proxies for assessing the degree of aquatic eutrophication.

中图分类号: 

表1 纳米磷灰石和水铁矿中稀土元素含量 (g/kg)
Table 1 Rare Earth ElementREEcontent of apatite and ferrihydrite
图1 无稀土元素实验培养5 d后的 Microcystis aeruginosa 荧光图像
Fig. 1 Fluorescent images of Microcystis aeruginosa after 5 d of culture in experiments without Rare Earth ElementREE
图2 无稀土元素实验培养20 d后的 Microcystis aeruginosa 荧光图像
Fig. 2 Fluorescent images of Microcystis aeruginosa after 20 d of culture in experiments without Rare Earth ElementREE
图3 稀土元素实验中 Microcystis aeruginosa 生长曲线
Fig. 3 Growth curves of Microcystis aeruginosa in Rare Earth ElementREEexperiments
图4 稀土元素实验中 13C 31P固体核磁共振谱
Fig. 4 Solid-state Nuclear Magnetic ResonancessNMRresults of 13C and 31P in Rare Earth ElementREEexperiments
图5 稀土元素实验中溶液和细胞中稀土元素浓度
Fig. 5 Rare Earth ElementREEconcentration in solution and cells in REE experiments
附图1 (http://www.adearth.ac.cn/fileup/1001-8166/SUPPL/supplFile_art_20250716112823.jpg)
图6 接触实验中细胞高角环形暗场像图和元素微区分布图 红色: P;绿色:Ca;蓝色:Fe。
Fig. 6 High-Angle Annular Dark FieldHAADFimages and element distribution maps of cells in contact experiments Red: P; Green: Ca; Blue: Fe.
附图2 (http://www.adearth.ac.cn/fileup/1001-8166/SUPPL/supplFile_art_20250716112832.jpg)
图7 透析实验中细胞高角环形暗场像图和元素微区分布图 红色: P或Sm;绿色:Ca;粉红色:Fe或Ho;浅蓝色:Sm;黄色:Tb;Ca/P分布图中的黄色为红色与绿色叠加后的颜色。
Fig. 7 High-Angle Annular Dark FieldHAADFimages and element distribution maps of cells in dialysis experiments Red: P or Sm; Green: Ca; Pink: Fe or Ho; aquamarine: Sm; yellow: Tb; yellow color in Ca/P distribution maps is derived from the stacking of red and green colors.
附图3 (http://www.adearth.ac.cn/fileup/1001-8166/SUPPL/supplFile_art_20250716112841.jpg)
附图4 (http://www.adearth.ac.cn/fileup/1001-8166/SUPPL/supplFile_art_20250716112914.jpg)
附图5 (http://www.adearth.ac.cn/fileup/1001-8166/SUPPL/supplFile_art_20250716112923.jpg)
[1]
ZHANG K SHIELDS G A. Sedimentary Ce anomalies: secular change and implications for paleoenvironmental evolution[J]. Earth-Science Reviews2022, 229. DOI:10.1016/j.earscirev.2022.104015 .
[2]
LING H F CHEN X LI D, et al. Cerium anomaly variations in Ediacaran-earliest Cambrian carbonates from the Yangtze Gorges area, South China: implications for oxygenation of coeval shallow seawater[J]. Precambrian Research2013225: 110-127.
[3]
SONG H J WIGNALL P B TONG J N, et al. Geochemical evidence from bio-apatite for multiple oceanic anoxic events during Permian-Triassic transition and the link with end-Permian extinction and recovery[J]. Earth and Planetary Science Letters2012353: 12-21.
[4]
DELVIGNE C CARDINAL D HOFMANN A, et al. Stratigraphic changes of Ge/Si, REE+Y and silicon isotopes as insights into the deposition of a Mesoarchaean banded iron formation[J]. Earth and Planetary Science Letters2012355: 109-118.
[5]
KAMBER B S WEBB G E. The geochemistry of late Archaean microbial carbonate: implications for ocean chemistry and continental erosion history[J]. Geochimica et Cosmochimica Acta200165(15): 2 509-2 525.
[6]
NOZAKI Y ZHANG J AMAKAWA H. The fractionation between Y and Ho in the marine environment[J]. Earth and Planetary Science Letters1997148(1/2): 329-340.
[7]
JIANG L CAI C F WORDEN R H, et al. Rare Earth Element and Yttrium (REY) geochemistry in carbonate reservoirs during deep burial diagenesis: implications for REY mobility during thermochemical sulfate reduction[J]. Chemical Geology2015415: 87-101.
[8]
ZHAO M Y ZHENG Y F. Marine carbonate records of terrigenous input into Paleotethyan seawater: geochemical constraints from Carboniferous limestones[J]. Geochimica et Cosmochimica Acta2014141: 508-531.
[9]
BYRNE R H LI B Q. Comparative complexation behavior of the rare earths[J]. Geochimica et Cosmochimica Acta199559(22): 4 575-4 589.
[10]
LUO Y R BYRNE R H. Carbonate complexation of yttrium and the rare earth elements in natural waters [J]. Geochimica et Cosmochimica Acta200468(4): 691-699.
[11]
TANG J W JOHANNESSON K H. Speciation of rare earth elements in natural terrestrial waters: assessing the role of dissolved organic matter from the modeling approach[J]. Geochimica et Cosmochimica Acta200367(13): 2 321-2 339.
[12]
TANG J W JOHANNESSON K H. Ligand extraction of rare earth elements from aquifer sediments: implications for rare earth element complexation with organic matter in natural waters[J]. Geochimica et Cosmochimica Acta201074(23): 6 690-6 705.
[13]
CANTRELL K J BYRNE R H. Rare earth element complexation by carbonate and oxalate ions[J]. Geochimica et Cosmochimica Acta198751(3): 597-605.
[14]
POKROVSKY O S POKROVSKI G S SCHOTT J, et al. Experimental study of germanium adsorption on goethite and germanium coprecipitation with iron hydroxide: X-ray absorption fine structure and macroscopic characterization[J]. Geochimica et Cosmochimica Acta200670(13): 3 325-3 341.
[15]
ALIBO D S NOZAKI Y. Rare earth elements in seawater: particle association, shale-normalization, and Ce oxidation[J]. Geochimica et Cosmochimica Acta199963(3/4): 363-372.
[16]
OZAKI T SUZUKI Y NANKAWA T, et al. Interactions of rare earth elements with bacteria and organic ligands[J]. Journal of Alloys and Compounds2006408: 1 334-1 338.
[17]
MARTINEZ R E POURRET O TAKAHASHI Y. Modeling of rare earth element sorption to the Gram positive Bacillus subtilis bacteria surface[J]. Journal of Colloid and Interface Science2014413: 106-111.
[18]
GIESBRECHT E AUDRIETH L F. Phosphates and polyphosphates of the rare earth elements: II pyrophosphato and triphosphato complexes of neodymium and yttrium[J]. Journal of Inorganic and Nuclear Chemistry19586(4): 308-313.
[19]
BUYERS A G GIESBRECHT E AUDRIETH L F. Phosphates and polyphosphates of the rare-earth elements: I the hydrogen ion displacement method for the characterization of the phosphates and polyphosphates of some rare earths[J]. Journal of Inorganic and Nuclear Chemistry19575(2): 133-140.
[20]
LIU Y Q YANG Q ZHU M J, et al. Endocytosis in Microcystis aeruginosa accelerates the synthesis of microcystins in the presence of lanthanum(III)[J]. Harmful Algae2020, 93. DOI:10.1016/j.hal.2020.101791 .
[21]
YANG Q LIU Y Q WANG L H, et al. Cerium exposure in Lake Taihu water aggravates microcystin pollution via enhancing endocytosis of Microcystis aeruginosa [J]. Environmental Pollution2022, 29. DOI:10.1016/j.envpol.2021.118308 .
[22]
TAKAHASHI Y YAMAMOTO M YAMAMOTO Y, et al. EXAFS study on the cause of enrichment of heavy REEs on bacterial cell surfaces[J]. Geochimica et Cosmochimica Acta201074(19): 5 443-5 462.
[23]
TAKAHASHI Y CHÂTELLIER X HATTORI K H, et al. Adsorption of rare earth elements onto bacterial cell walls and its implication for REE sorption onto natural microbial mats[J]. Chemical Geology2005219(1/2/3/4): 53-67.
[24]
de BAAR H J W BACON M P BREWER P G, et al. Rare earth elements in the Pacific and Atlantic Oceans[J]. Geochimica et Cosmochimica Acta198549(9): 1 943-1 959.
[25]
LEE J H BYRNE R H. Examination of comparative rare earth element complexation behavior using linear free-energy relationships[J]. Geochimica et Cosmochimica Acta199256(3): 1 127-1 137.
[26]
NGUYEN N D RABIET M GRYBOS M, et al. Does Anoxia promote the mobilization of P-bearing colloids from dam reservoir sediment?[J]. Water Research2023, 245. DOI:10.1016/j.watres.2023.120568 .
[27]
RIVER M RICHARDSON C J. Dissolved reactive phosphorus loads to western Lake Erie: the hidden influence of nanoparticles[J]. Journal of Environmental Quality201948(3): 645-653.
[28]
van MOORLEGHEM C, SIX L, DEGRYSE F, et al. Effect of organic P forms and P present in inorganic colloids on the determination of dissolved P in environmental samples by the diffusive gradient in thin films technique, ion chromatography, and colorimetry[J]. Analytical Chemistry201183(13): 5 317-5 323.
[29]
ADEDIRAN G A LUNDBERG D ALMKVIST G, et al. Micro and nano sized particles in leachates from agricultural soils: Phosphorus and sulfur speciation by X-ray micro-spectroscopy[J]. Water Research2021, 189. DOI:10.1016/j.watres.2020.116585 .
[30]
LIAO J L CHEN J Y SUN X M, et al. Quantifying the controlling mineral phases of rare-earth elements in deep-sea pelagic sediments[J]. Chemical Geology2022, 595. DOI:10.1016/j.chemgeo.2022.120792 .
[31]
LIU W S WU L L ZHENG M Y, et al. Controls on rare-earth element transport in a river impacted by ion-adsorption rare-earth mining[J]. Science of the Total Environment2019660: 697-704.
[32]
BAU M. Scavenging of dissolved yttrium and rare earths by precipitating iron oxyhydroxide: experimental evidence for Ce oxidation, Y-Ho fractionation, and lanthanide tetrad effect[J]. Geochimica et Cosmochimica Acta199963(1): 67-77.
[33]
BAYON G GERMAN C R BURTON K W, et al. Sedimentary Fe-Mn oxyhydroxides as paleoceanographic archives and the role of aeolian flux in regulating oceanic dissolved REE[J]. Earth and Planetary Science Letters2004224(3/4): 477-492.
[34]
PATTAN J N PEARCE N J G MISLANKAR P G. Constraints in using Cerium-anomaly of bulk sediments as an indicator of paleo bottom water redox environment: a case study from the Central Indian Ocean Basin[J]. Chemical Geology2005221(3/4): 260-278.
[35]
HANNIGAN R E SHOLKOVITZ E R. The development of middle rare earth element enrichments in freshwaters: weathering of phosphate minerals[J]. Chemical Geology2001175(3/4): 495-508.
[36]
van MOORLEGHEM C de SCHUTTER N SMOLDERS E, et al. The bioavailability of colloidal and dissolved organic phosphorus to the Alga pseudokirchneriella subcapitata in relation to analytical phosphorus measurements[J]. Hydrobiologia2013709(1): 41-53.
[37]
BAKEN S NAWARA S van MOORLEGHEM C, et al. Iron colloids reduce the bioavailability of phosphorus to the green Alga Raphidocelis subcapitata [J]. Water Research201459: 198-206.
[38]
STUMPF R P JOHNSON L T WYNNE T T, et al. Forecasting annual cyanobacterial bloom biomass to inform management decisions in Lake Erie[J]. Journal of Great Lakes Research201642(6): 1 174-1 183.
[39]
BUFFLE J LEPPARD G G. Characterization of aquatic colloids and macromolecules. 1. structure and behavior of colloidal material[J]. Environmental Science & Technology199529(9): 2 169-2 175.
[40]
POULENARD J DORIOZ J M ELSASS F. Analytical electron-microscopy fractionation of fine and colloidal particulate-phosphorus in riverbed and suspended sediments[J]. Aquatic Geochemistry200814(3): 193-210.
[41]
BAKEN S REGELINK I C COMANS R N J, et al. Iron-rich colloids as carriers of phosphorus in streams: a field-flow fractionation study[J]. Water Research201699: 83-90.
[42]
FAN Q H LI Z ZHAO H G, et al. Adsorption of Pb(II) on palygorskite from aqueous solution: effects of pH, ionic strength and temperature[J]. Applied Clay Science200945(3): 111-116.
[43]
SCHWERTMANN U CORNELL R M. Iron oxides in the laboratory: preparation and characterization [M]. Weinheim: Wiley VCH, 2000.
[44]
CARPENTER S R. Phosphorus control is critical to mitigating eutrophication [J]. Proceedings of the National Academy of Sciences2008105(32): 11 039-11 040.
[45]
PANDEY S NARAYANAN I VINAYAGAM R, et al. A review on the effect of blue green 11 medium and its constituents on microalgal growth and lipid production[J]. Journal of Environmental Chemical Engineering202311(3). DOI:10.1016/j.jece.2023.109984 .
[46]
IMBROGNO A CALVO J I BREIDA M, et al. Molecular Weight Cut Off (MWCO) determination in ultra- and nanofiltration: review of methods and implications on organic matter removal[J]. Separation and Purification Technology2025, 354. DOI:10.1016/j.seppur.2024.128612 .
[47]
PIVOKONSKY M SAFARIKOVA J BARESOVA M, et al. A comparison of the character of algal extracellular versus cellular organic matter produced by cyanobacterium, diatom and green alga[J]. Water Research201451: 37-46.
[48]
OMELON S J GRYNPAS M D. Relationships between polyphosphate chemistry, biochemistry and apatite biomineralization[J]. Chemical Reviews2008108(11): 4 694-4 715.
[49]
DIAZ J INGALL E BENITEZ-NELSON C, et al. Marine polyphosphate: a key player in geologic phosphorus sequestration[J]. Science2008320(5 876): 652-655.
[50]
GIESBRECHT E. Phosphates and polyphosphates of the rare earth elements: III Cerium(III) tripolyphosphates[J]. Journal of Inorganic and Nuclear Chemistry196015(3/4): 265-271.
[51]
ASCHAR-SOBBI R ABRAMOV A Y DIAO C, et al. High sensitivity, quantitative measurements of polyphosphate using a new DAPI-based approach[J]. Journal of Fluorescence200818(5): 859-866.
[52]
EKHOLM P KROGERUS K. Determining algal-available phosphorus of differing origin: routine phosphorus analyses versus algal assays[J]. Hydrobiologia2003492(1): 29-42.
[53]
SHEN F WANG L H ZHOU Q, et al. Effects of lanthanum on Microcystis aeruginosa: attention to the changes in composition and content of cellular microcystins[J]. Aquatic Toxicology2018196: 9-16.
[54]
TESSON B MASSE S LAURENT G, et al. Contribution of multi-nuclear solid state NMR to the characterization of the Thalassiosira pseudonana diatom cell wall[J]. Analytical and Bioanalytical Chemistry2008390(7): 1 889-1 898.
[55]
SHIR I BEN KABABYA S SCHMIDT A. Molecular-level structure property relationships in biogenic calcium carbonates: the unique insights of solid-state NMR spectroscopy[J]. Israel Journal of Chemistry201454(1/2): 74-85.
[56]
BADGER M R DEAN PRICE G. CO2 concentrating mechanisms in cyanobacteria: molecular components, their diversity and evolution[J]. Journal of Experimental Botany200354(383): 609-622.
[57]
CADE-MENUN B J. Characterizing phosphorus in environmental and agricultural samples by 31P nuclear magnetic resonance spectroscopy[J]. Talanta200566(2): 359-371.
[58]
HUPFER M RUÜBE B SCHMIEDER P. Origin and diagenesis of polyphosphate in lake sediments: a 31P NMR study[J]. Limnology and Oceanography200449(1): 1-10.
[59]
CHRIST J J WILLBOLD S BLANK L M. Polyphosphate chain length determination in the range of two to several hundred P-subunits with a new enzyme assay and 31P NMR[J]. Analytical Chemistry201991(12): 7 654-7 661.
[60]
JIANG C L LI Y H LI C, et al. Distribution, source and behavior of rare earth elements in surface water and sediments in a subtropical freshwater lake influenced by human activities[J]. Environmental Pollution2022, 313. DOI:10.1016/j.envpol.2022.120153 .
[61]
STOLPE B GUO L D SHILLER A M. Binding and transport of rare earth elements by organic and iron-rich nanocolloids in Alaskan rivers, as revealed by field-flow fractionation and ICP-MS[J]. Geochimica et Cosmochimica Acta2013106: 446-462.
[62]
STOLPE B GUO L D SHILLER A M, et al. Size and composition of colloidal organic matter and trace elements in the Mississippi River, Pearl River and the northern Gulf of Mexico, as characterized by flow field-flow fractionation[J]. Marine Chemistry2010118(3/4): 119-128.
[63]
SCHOTT J KRETZSCHMAR J ACKER M, et al. Formation of a Eu(III) borate solid species from a weak Eu(III) borate complex in aqueous solution[J]. Dalton Transactions201443(30): 11 516-11 528.
[64]
BYRNE R H LEE J H BINGLER L S. Rare earth element complexation by PO 4 3 - ions in aqueous solution[J]. Geochimica et Cosmochimica Acta199155(10): 2 729-2 735.
[65]
CANTRELL K J BYRNE R H. Rare earth element complexation by carbonate and oxalate ions[J]. Geochimica et Cosmochimica Acta198751(3): 597-605.
[66]
CORKERON M WEBB G E MOULDS J, et al. Discriminating stromatolite formation modes using rare earth element geochemistry: trapping and binding versus in situ precipitation of stromatolites from the Neoproterozoic Bitter Springs Formation, Northern Territory, Australia[J]. Precambrian Research2012212: 194-206.
[67]
PETRASH D A ROBBINS L J SHAPIRO R S, et al. Chemical and textural overprinting of ancient stromatolites: timing, processes, and implications for their use as paleoenvironmental proxies[J]. Precambrian Research2016278: 145-160.
[1] 贾凡琛, 李茜, 朱光有, 陈思钰, 黄月, 蓝婉嫣, 王瑞林, 王嘉宁. 钡及其同位素地球化学循环与分馏机制进展[J]. 地球科学进展, 2025, 40(6): 621-634.
[2] 张瀚, 杨一超, 任景玲. 大洋中溶解态镉与磷酸盐的相关关系及关键控制过程[J]. 地球科学进展, 2024, 39(2): 207-219.
[3] 刘美彤, 王虎. 热液羽流中铁形态及其同位素特征[J]. 地球科学进展, 2022, 37(8): 798-810.
[4] 贾佳源, 贺娟, 韦兵兵, 贾国东, 李丽. 海洋藻类生物标志物单体氢同位素与表层海水盐度关系研究进展与启示[J]. 地球科学进展, 2022, 37(4): 392-406.
[5] 闫雅妮, 张伟, 张俊文, 任亚雄, 赵志琦. 大陆硅酸盐岩石风化过程中镁同位素地球化学研究进展[J]. 地球科学进展, 2021, 36(3): 325-334.
[6] 张涵, 许博超, 郭肖伊, 张晓洁, 于志刚. 活体底栖有孔虫鉴别方法及其应用[J]. 地球科学进展, 2021, 36(12): 1247-1257.
[7] 邓文文, 王荣, 刘正文, 郑文秀, 张晨雪. 模型揭示的浅水湖泊稳态转换影响因素分析[J]. 地球科学进展, 2021, 36(1): 83-94.
[8] 赖正,苏妮,吴舟扬,连尔刚,杨承帆,李芳亮,杨守业. 流域风化过程稳定锶同位素的分馏与示踪[J]. 地球科学进展, 2020, 35(7): 691-703.
[9] 余小灿,刘成林,王春连. 锂同位素地球化学在大陆地热体系研究中的应用[J]. 地球科学进展, 2020, 35(3): 246-258.
[10] 王宇航, 朱园园, 黄建东, 宋虎跃, 杜勇, 李哲. 海相碳酸盐岩稀土元素在古环境研究中的应用[J]. 地球科学进展, 2018, 33(9): 922-932.
[11] 邹银洪, 张润宇, 陈敬安, 王立英, 陆顶盘. 黏土矿物在富营养化水体和底泥磷污染控制中的应用研究进展[J]. 地球科学进展, 2018, 33(6): 578-589.
[12] 张硕, 简星, 张巍. 碎屑磷灰石对沉积物源判别的指示*[J]. 地球科学进展, 2018, 33(11): 1142-1153.
[13] 张虎才, 常凤琴, 段立曾, 李华勇, 张云鹰, 蒙红卫, 文新宇, 吴汉, 路志明, 毕荣鑫, 张扬, 赵帅营, 康文刚. 滇池水质特征及变化[J]. 地球科学进展, 2017, 32(6): 651-659.
[14] 李向东, 阙易, 郇雅棋. 桌子山中奥陶统克里摩里组下段薄层状石灰岩垂向序列分析[J]. 地球科学进展, 2017, 32(3): 276-291.
[15] 林杰, 庄广胜, 王成善, 戴紧根. 叶蜡单体氢同位素古高程计研究进展[J]. 地球科学进展, 2016, 31(9): 894-906.
阅读次数
全文


摘要